Pēdējā atjaunošana :
18/03/2026
Pretvemšanas līdzeklis   Prochlorperazine edysilate  
Deguna pilieni
Injekcija
Stabilitāte farmaceitisko preparātu Maisījuma stabilitāte Stabilitāti ietekmējoši faktori Saderība Literatūras saraksts pdf
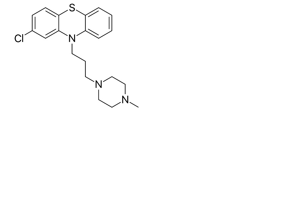
   Ķīmiskā uzbūve   

Deguna pilieni
Stabilitāte farmaceitisko preparātu   Deguna pilieni   Stabilitāte farmaceitisko preparātu : Prochlorperazine edysilate     
Iepakojums Origine Palīgviela Temperatūra Glabāšana Stabilitātes ilgums Literatūras saraksts
Plastmasas pudele Pūderis 250 mg
Citronskābe 5 mg
NaCl 0.9% 450 mg
Attīrīts ūdens >> 50 mL
Sālsskābe 0.1N pH 2.5
22°C Aizsargāt no gaismas
60 Diena
4054


  Mentions Légales