Posledná aktualizácia :
17/12/2025
antiemetikum   Prochlorperazine edysilate  
Nosová instilácia
Injekcia
Stabilita farmaceutických prípravkov Stabilita v zmesiach Faktory ovplyvňujúce stabilitu Kompatibility Odkazy na literatúru PDF
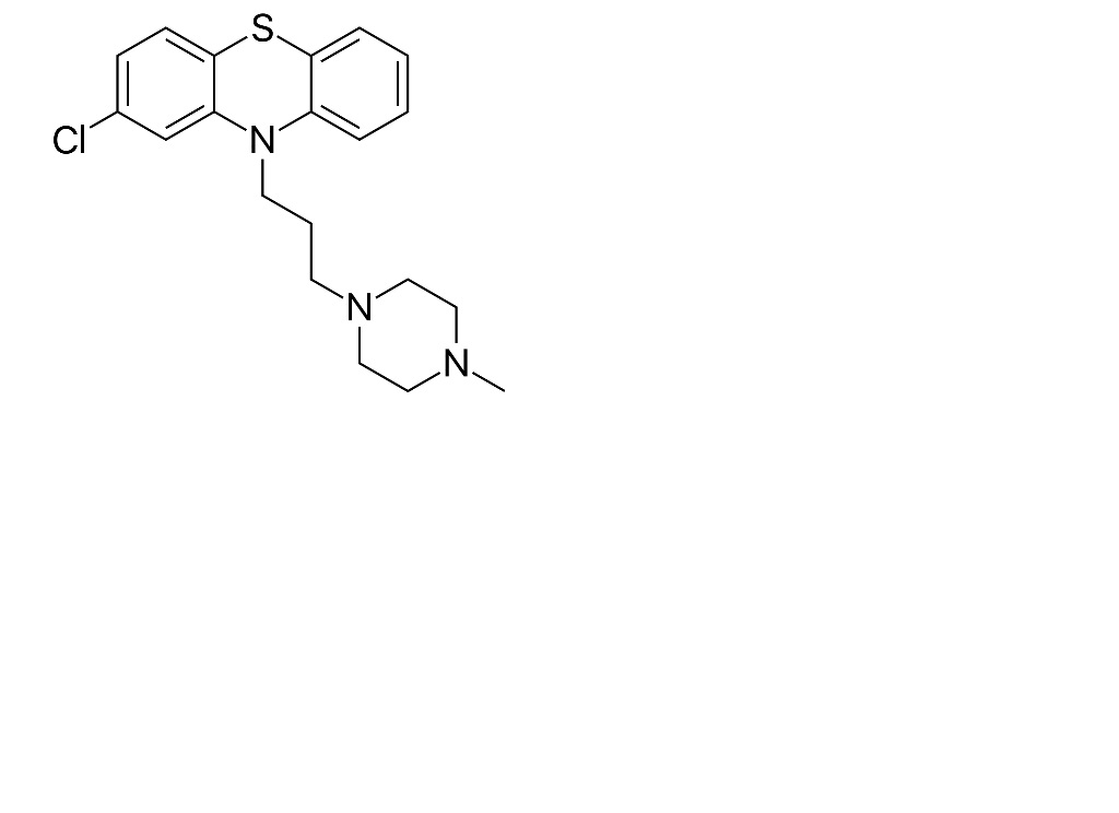
   Chemický vzorec  

Nosová instilácia
Stabilita farmaceutických prípravkov   Nosová instilácia   Stabilita farmaceutických prípravkov : Prochlorperazine edysilate     
obal Pôvod Pomocná látka teplota uchovávanie Trvanie stability odkazy na lieteratúru
Plastová fľaša Prášok 250 mg
Kyselina citrónová 5 mg
NaCl 0.9% 450 mg
Čistená voda >> 50 mL
Kyselina chlorovodíková 0.1N pH 2.5
22°C Chránené pred svetlom
60 dní
4054


  Mentions Légales