Останнє оновлення :
27/11/2025
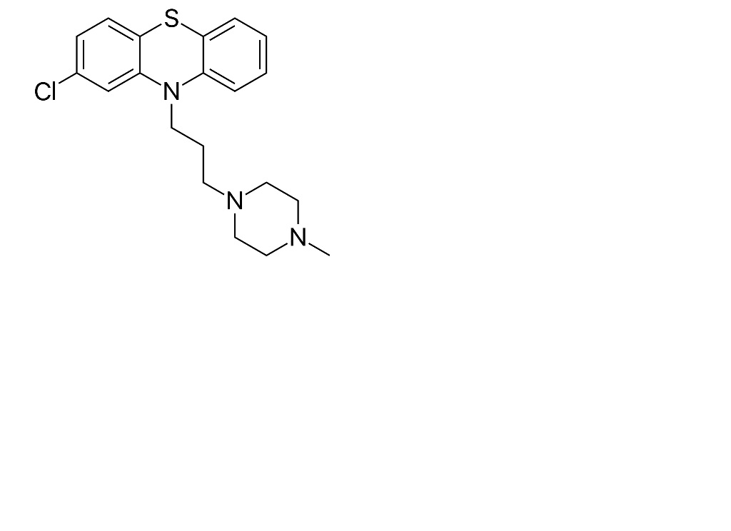
Протирвотний засіб   Prochlorperazine edysilate  
краплі в ніс
ін'єкція
Стабільність фармацевтичних препаратів Стійкість сумішей Фактори, що впливають на стабільність Сумісність Список літератури pdf
   Хімічна структура  

краплі в ніс
Стійкість сумішей   краплі в ніс   Стійкість сумішей : Prochlorperazine edysilate     
7 / 5 000 Résultats de traduction Немає даних

  Mentions Légales