Viimeisin päivitys :
18/03/2026
Pahoinvontilääkkeet   Prochlorperazine edysilate  
Nenätipat
Injektioneste
Vakaus lääkevalmisteen Stabilius seoksissa Tekijät, jotka vaikuttavat stabiliuteen Yhteensopivuus Viitteet pdf
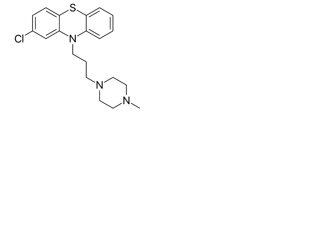
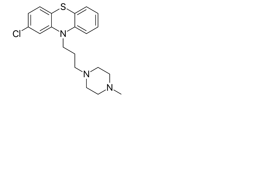
   Kemiallinen rakenne  

Nenätipat
Stabilius seoksissa   Nenätipat   Stabilius seoksissa : Prochlorperazine edysilate     
ei tietoa

  Mentions Légales