Última actualización :
27/11/2025
Antiemético   Prochlorperazine edysilate  
Gotas nasales
Inyectables
La estabilidad de las preparaciones farmacéuticas Estabilidad en mezcla Factores que influyen sobre la estabilidad Compatibilidades Bibliografía pdf
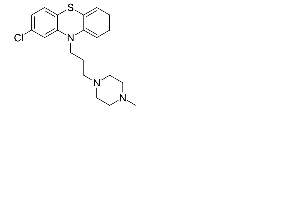
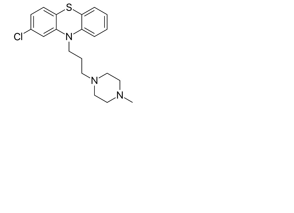
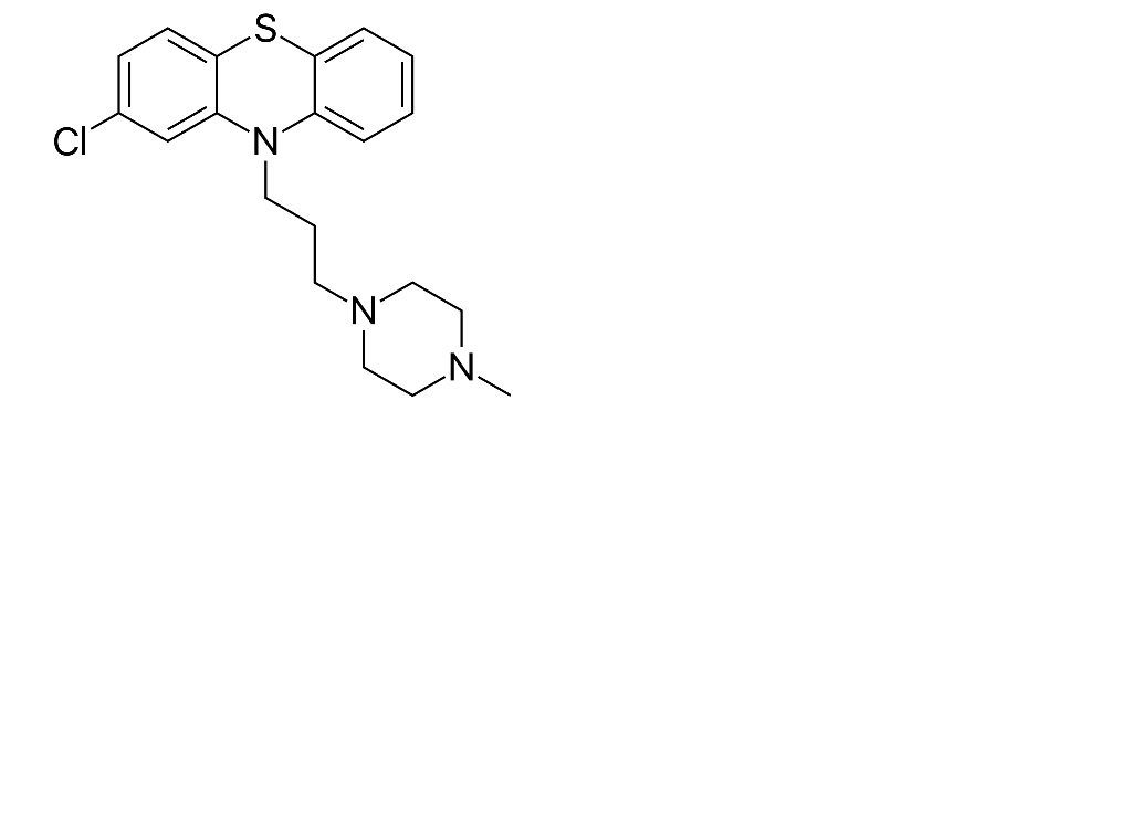
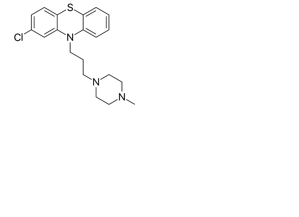
   Estructura química  

Gotas nasales
Estabilidad en mezcla   Gotas nasales   Estabilidad en mezcla : Prochlorperazine edysilate     
Ausencia de datos

  Mentions Légales