Laatste update :
27/11/2025
Anti-emeticum   Prochlorperazine edysilate  
neusdruppels
injecteerbaar geneesmiddel
Stabiliteit van farmaceutische preparaten Stabiliteit in mengsels Factoren die de stabiliteit beïnvloeden Verenigbaarheden Literatuur pdf
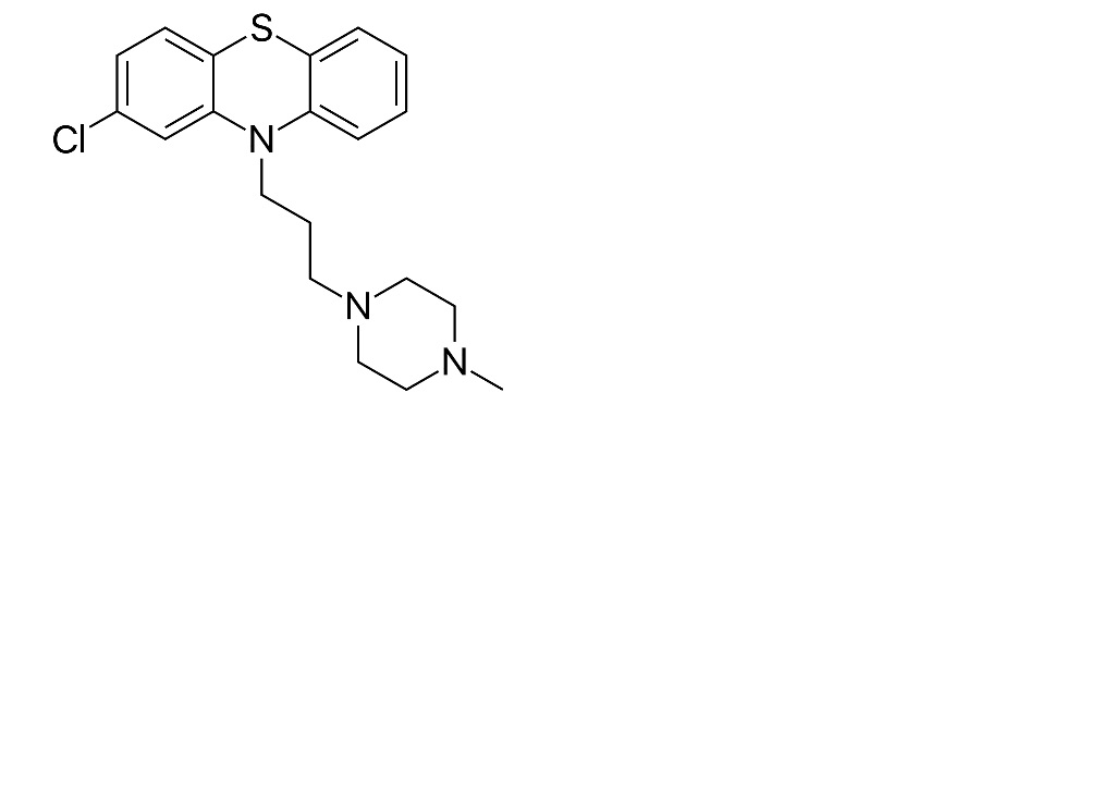
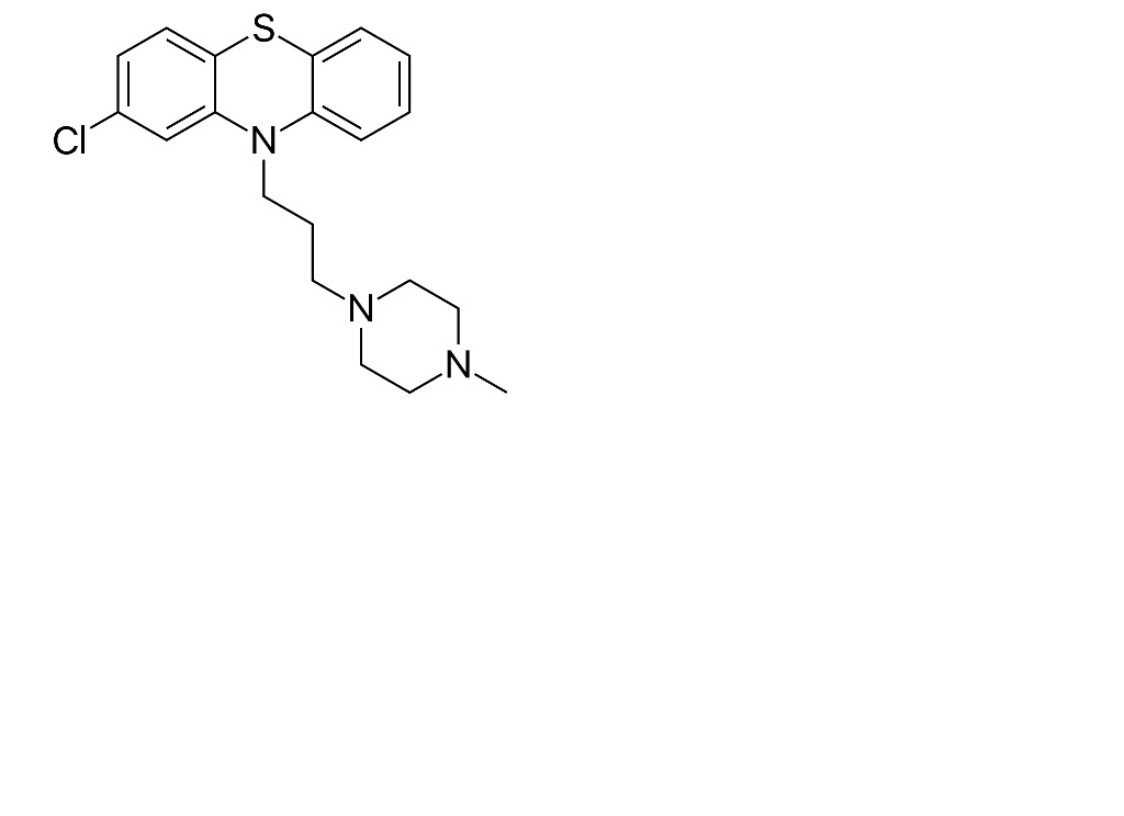
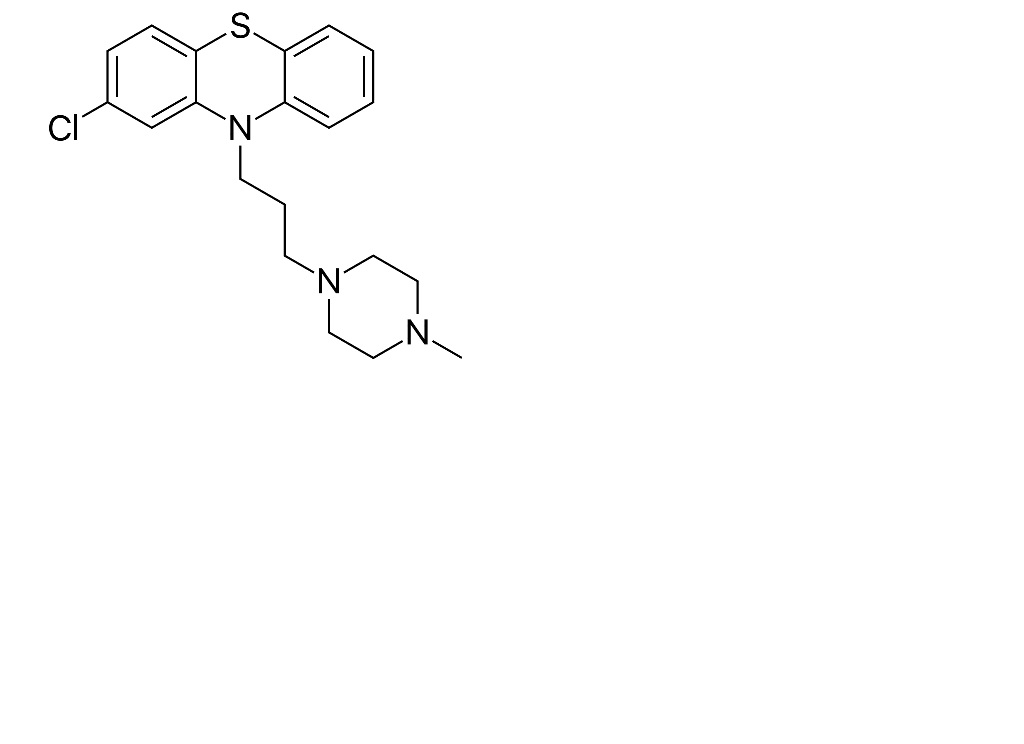
   Molecuulstructuur  

neusdruppels
Stabiliteit in mengsels   neusdruppels   Stabiliteit in mengsels : Prochlorperazine edysilate     
geen gegevens

  Mentions Légales