Posledná aktualizácia :
18/03/2026
antiemetikum   Prochlorperazine edysilate  
Nosová instilácia
Injekcia
Stabilita farmaceutických prípravkov Stabilita v zmesiach Faktory ovplyvňujúce stabilitu Kompatibility Odkazy na literatúru PDF
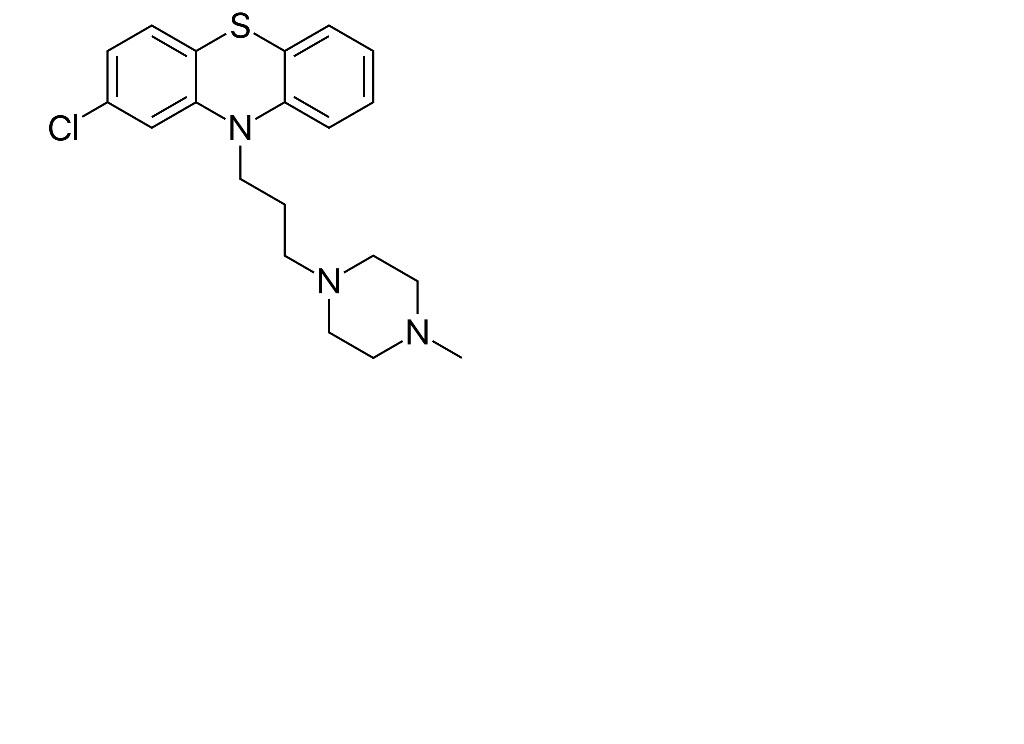
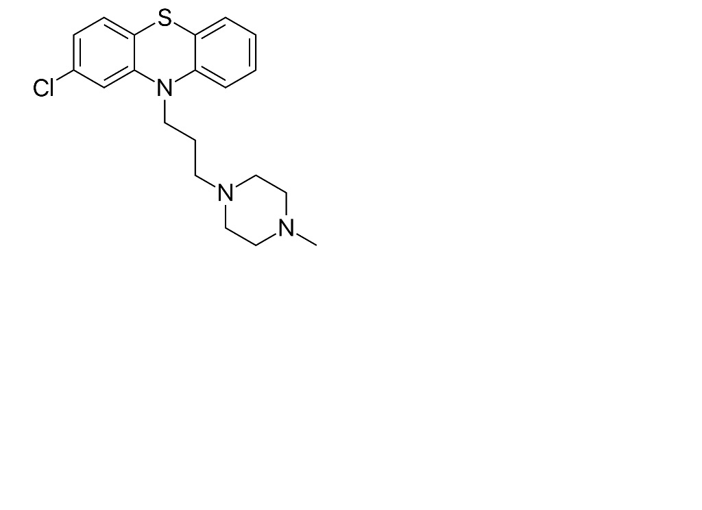
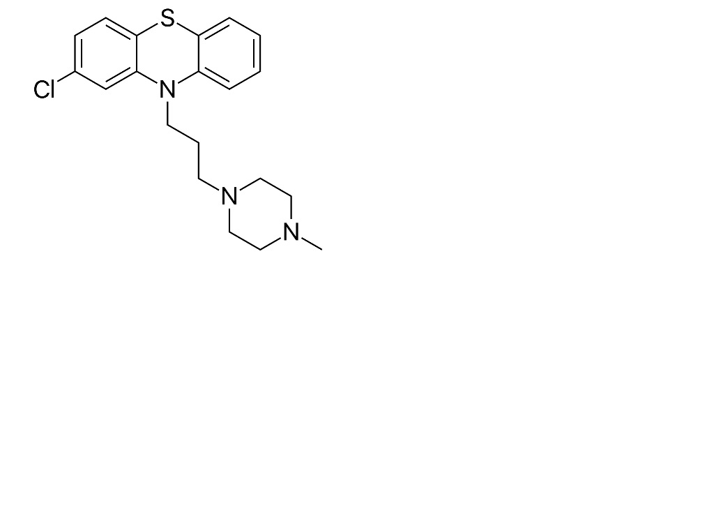
   Chemický vzorec  

Nosová instilácia
Stabilita v zmesiach   Nosová instilácia   Stabilita v zmesiach : Prochlorperazine edysilate     
žiadne údaje

  Mentions Légales