zadnja posodobitev :
27/11/2025
Antiemetik   Prochlorperazine edysilate  
Kapljice za nos
Brizgalka
Stabilnost farmacevtskih preparatov Stabilnost mešanice Faktorji, ki vplivajo na stabilnost Kompatibilnost Viri pdf
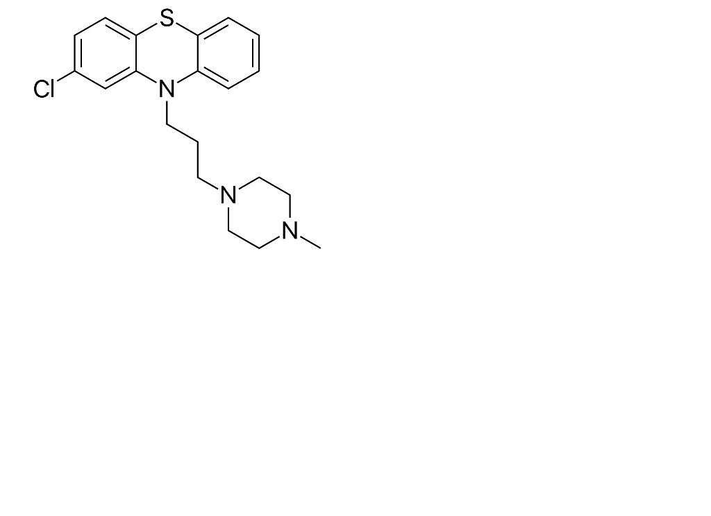
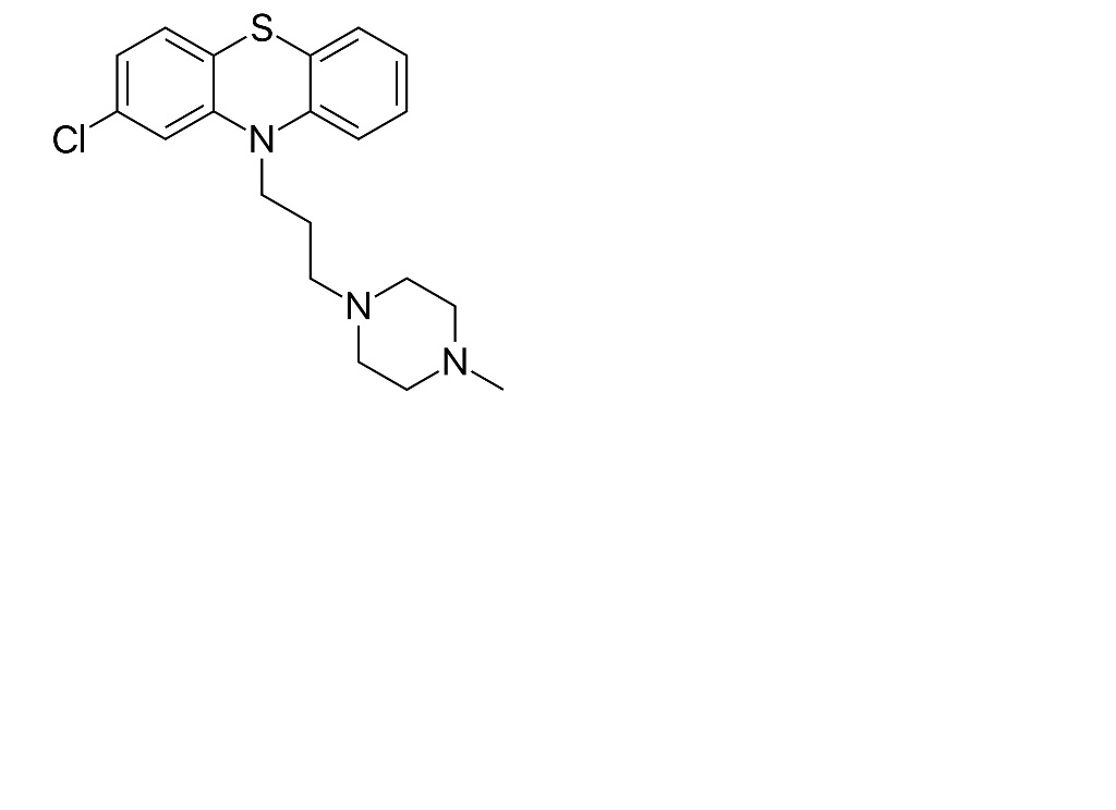
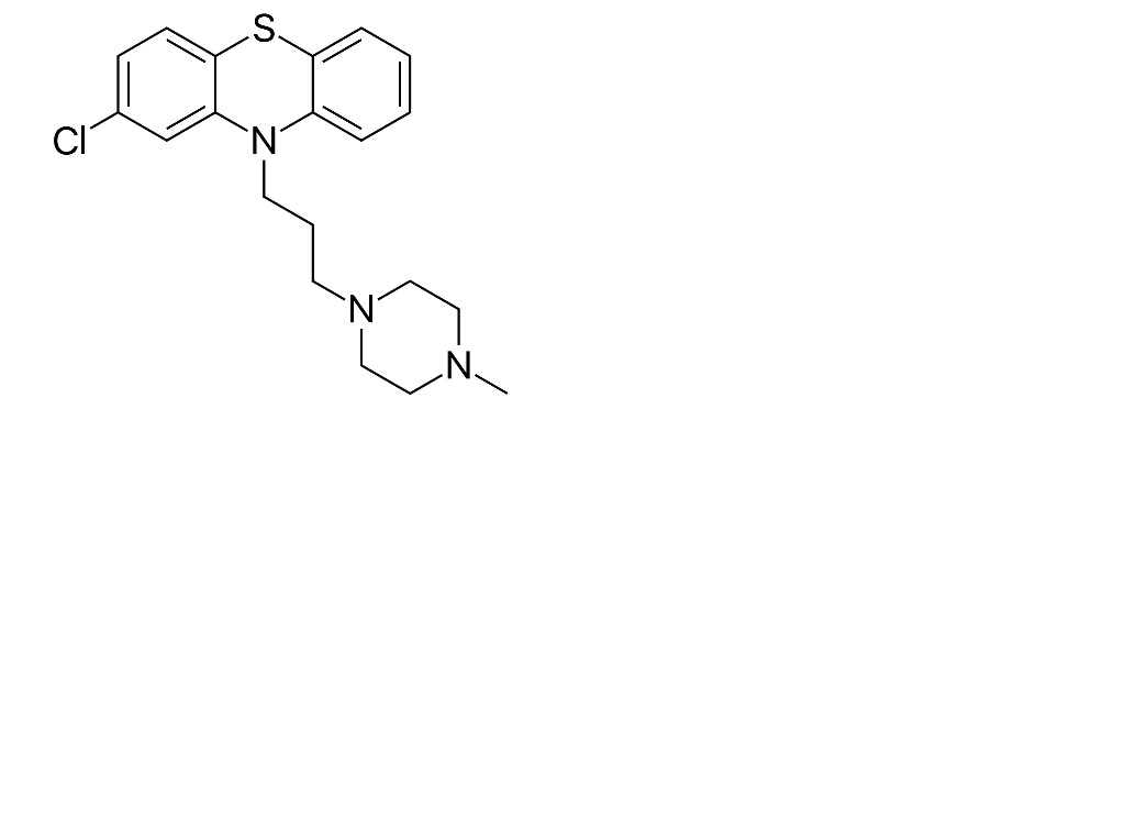
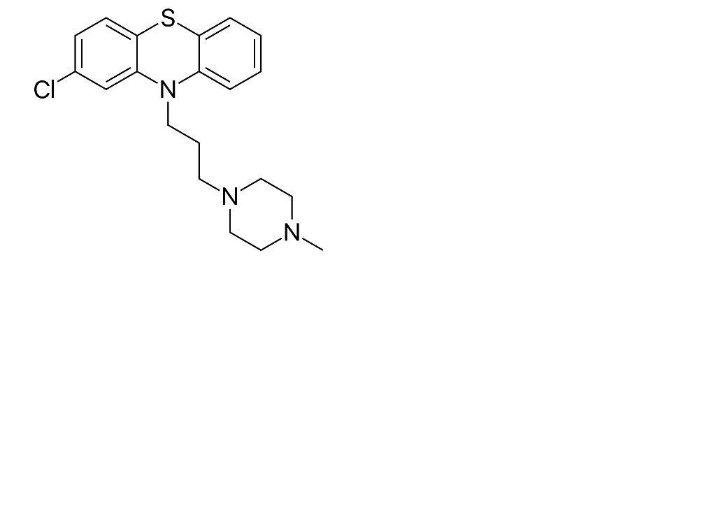
   Kemična formula  

Kapljice za nos
Stabilnost mešanice   Kapljice za nos   Stabilnost mešanice : Prochlorperazine edysilate     
ni podatka

  Mentions Légales