Ultimo aggiornamento :
27/11/2025
Antiemetico   Prochlorperazine edysilate  
gocce nasali
Iniezione
Stabilità dei preparati farmaceutici Stabilità in miscela Fattori che influenzano la stabilità Compatibilità Bibliografia pdf
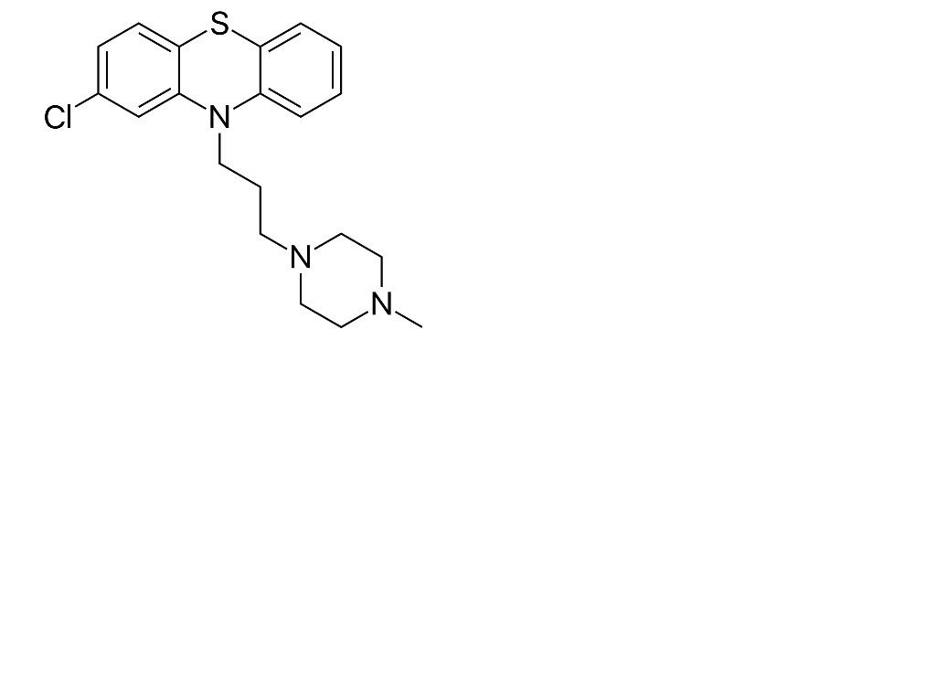
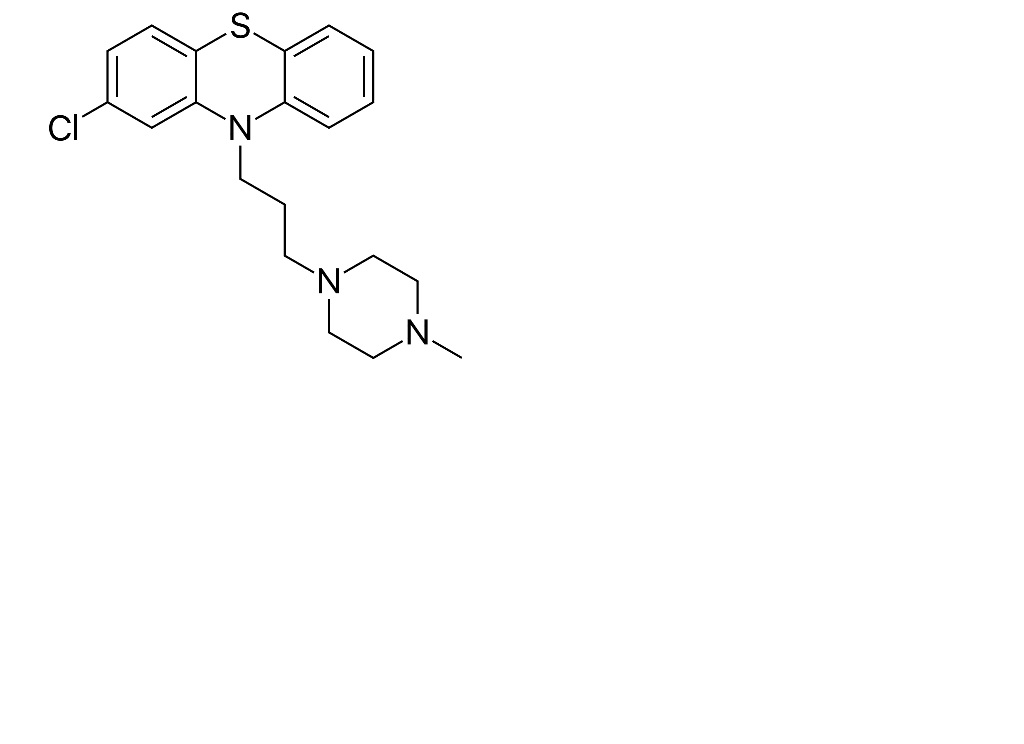
   Struttura chimica  

gocce nasali
Stabilità in miscela   gocce nasali   Stabilità in miscela : Prochlorperazine edysilate     
Assenza di dati

  Mentions Légales