viimane versioon :
18/03/2026
antiemeetikum   Prochlorperazine edysilate  
ninatilgad
Süsteravim
Stabiilsust ravimpreparaadid Stabiilsust mõjutavad tegurid stabiilsust mõjutavad faktorid Sobimatus Viited pdf
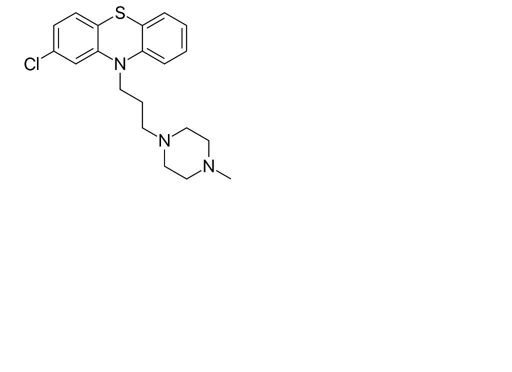
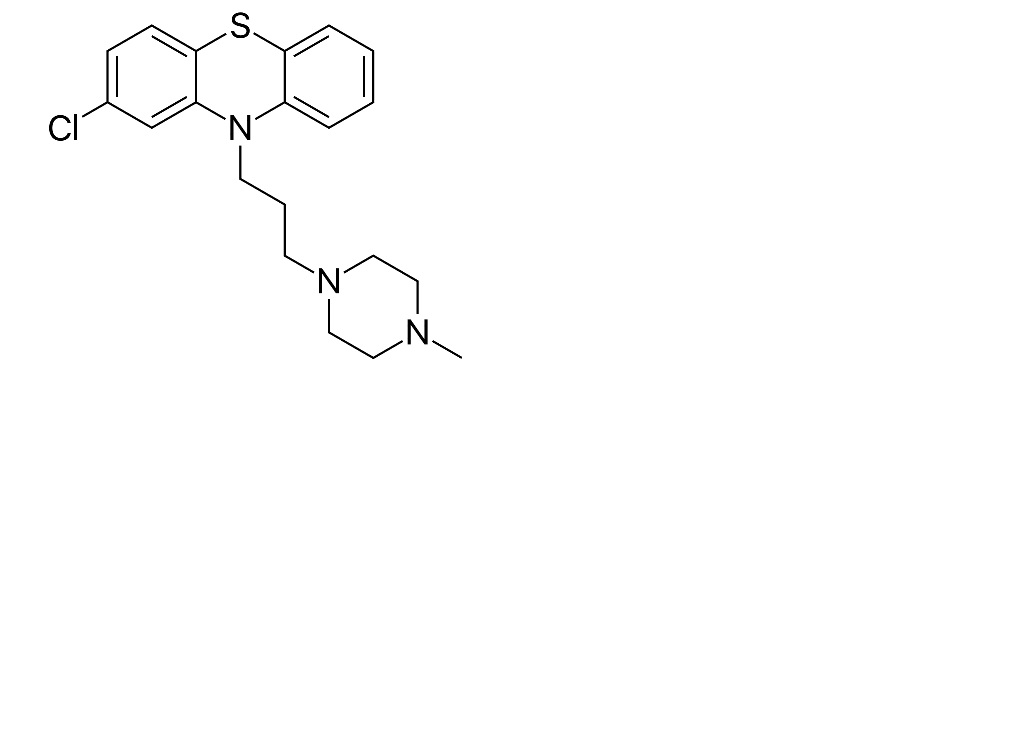
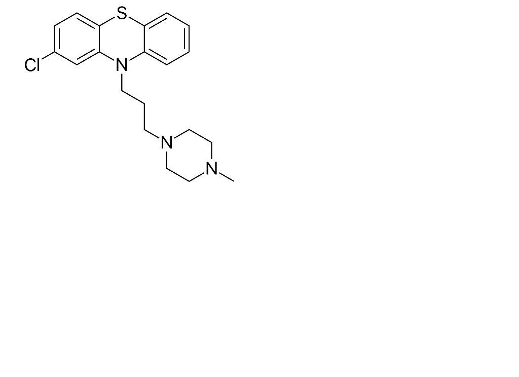
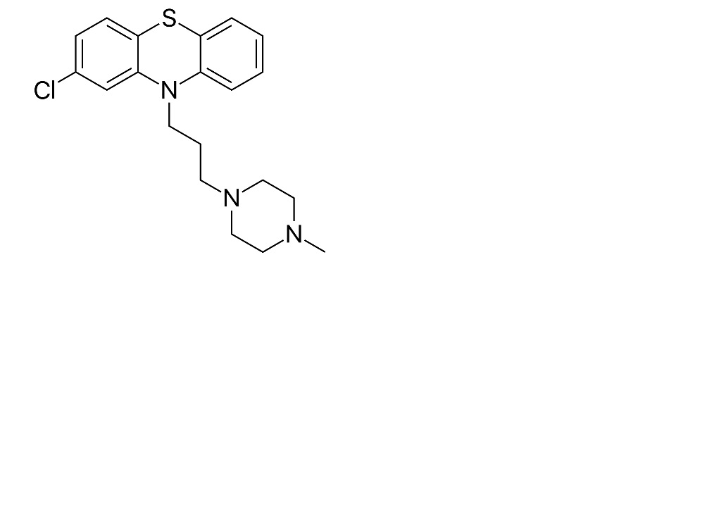
   keemiline struktuur  

ninatilgad
Stabiilsust mõjutavad tegurid   ninatilgad   Stabiilsust mõjutavad tegurid : Prochlorperazine edysilate     
andmed puuduvad

  Mentions Légales