Seneste opdatering :
27/11/2025
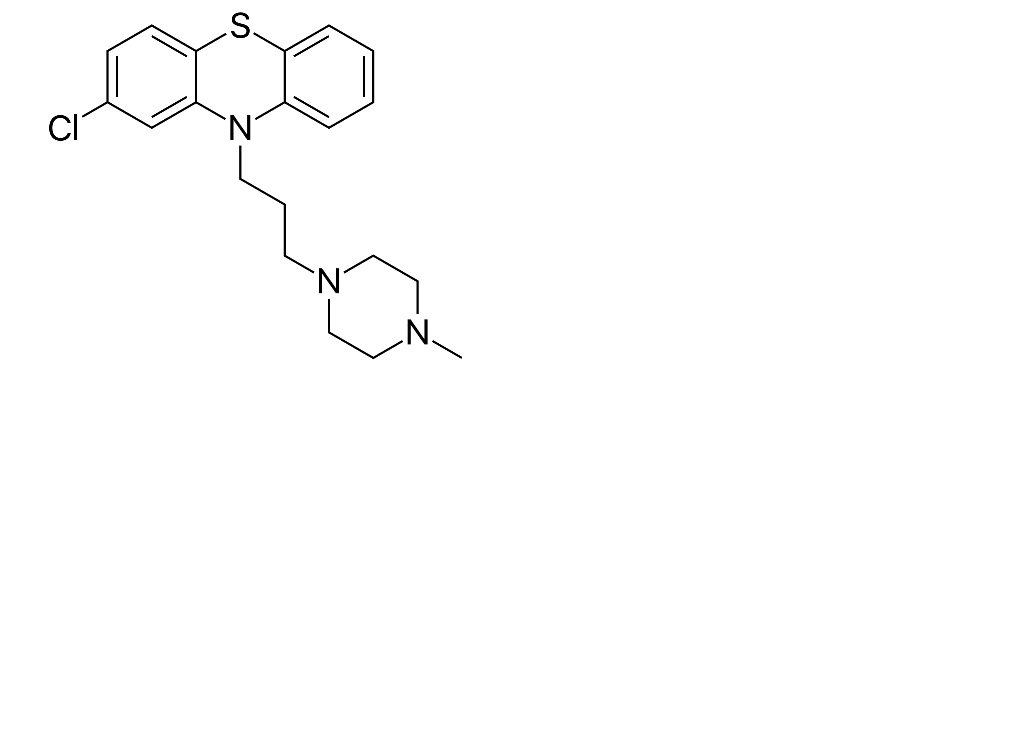
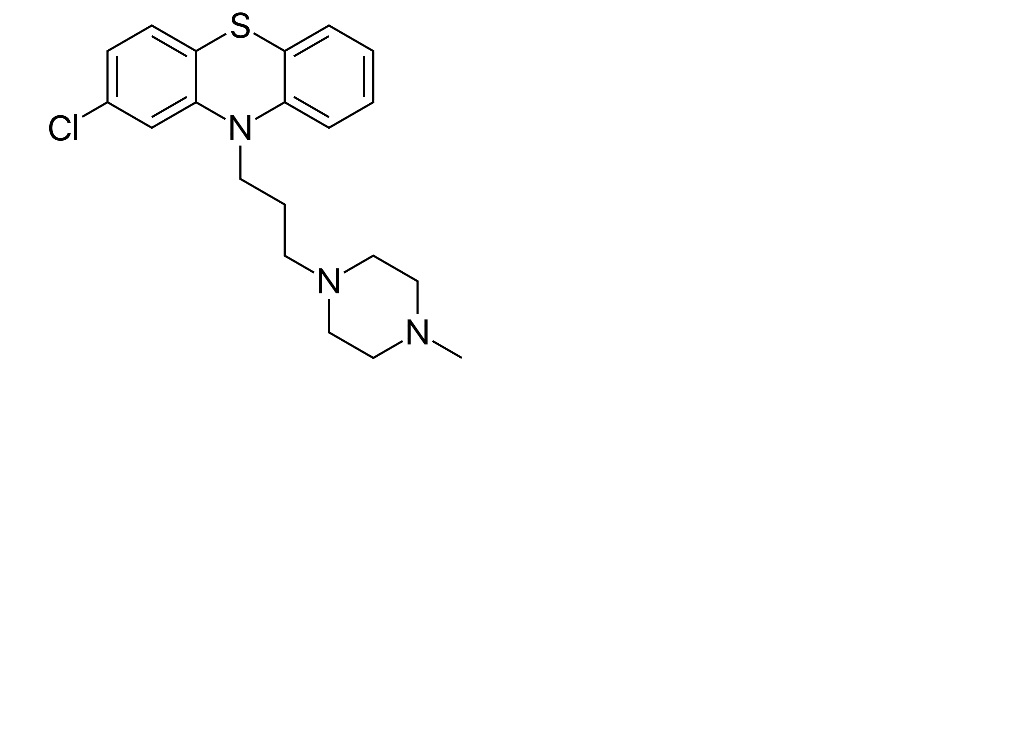
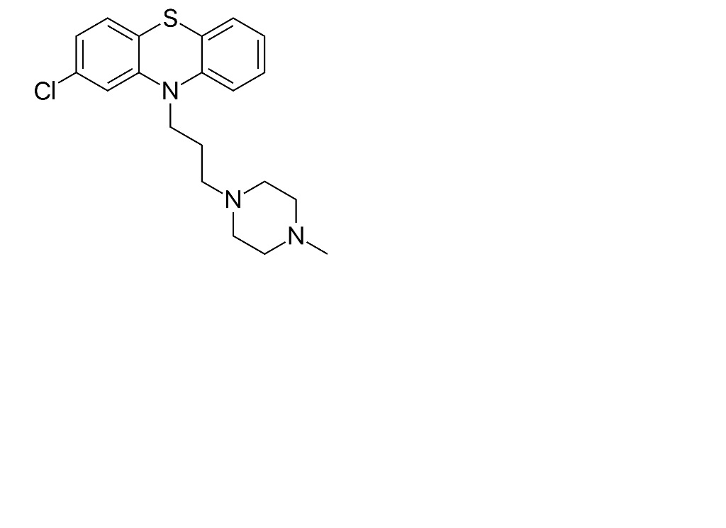
Antiemetisk   Prochlorperazine edysilate  
Næsedråber
Injektion
Stabilitet af farmaceutiske tilberedninger Stabilitet i blandinger Faktorer der påvirker stabiliteten Kompatibilitet Bibliografi pdf
   Kemisk struktur  

Næsedråber
Stabilitet i blandinger   Næsedråber   Stabilitet i blandinger : Prochlorperazine edysilate     
Ingen data

  Mentions Légales