Ultimele actualizari :
27/11/2025
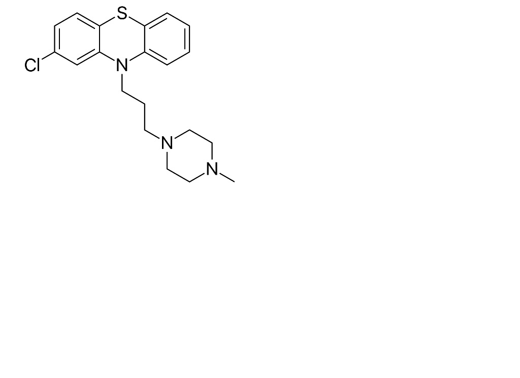
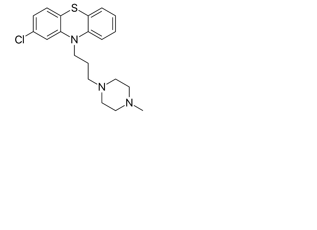
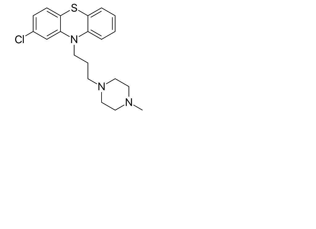
Antiemetic   Prochlorperazine edysilate  
Picaturi pentru nas
Injectabil
Stabilitatea preparatelor farmaceutice Stabilitatea in amestec Factorii care influenteaza stabilitatea Compatibilitate Bibliografie pdf
   Formula chimica  

Picaturi pentru nas
Stabilitatea in amestec   Picaturi pentru nas   Stabilitatea in amestec : Prochlorperazine edysilate     
Absenta de date

  Mentions Légales