Last update :
27/11/2025
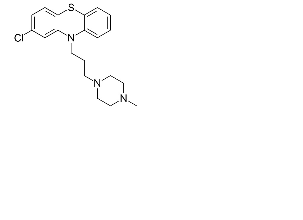
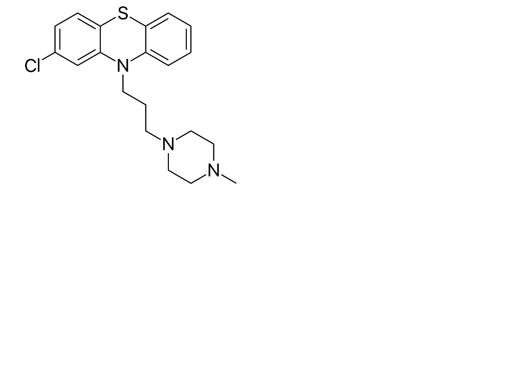
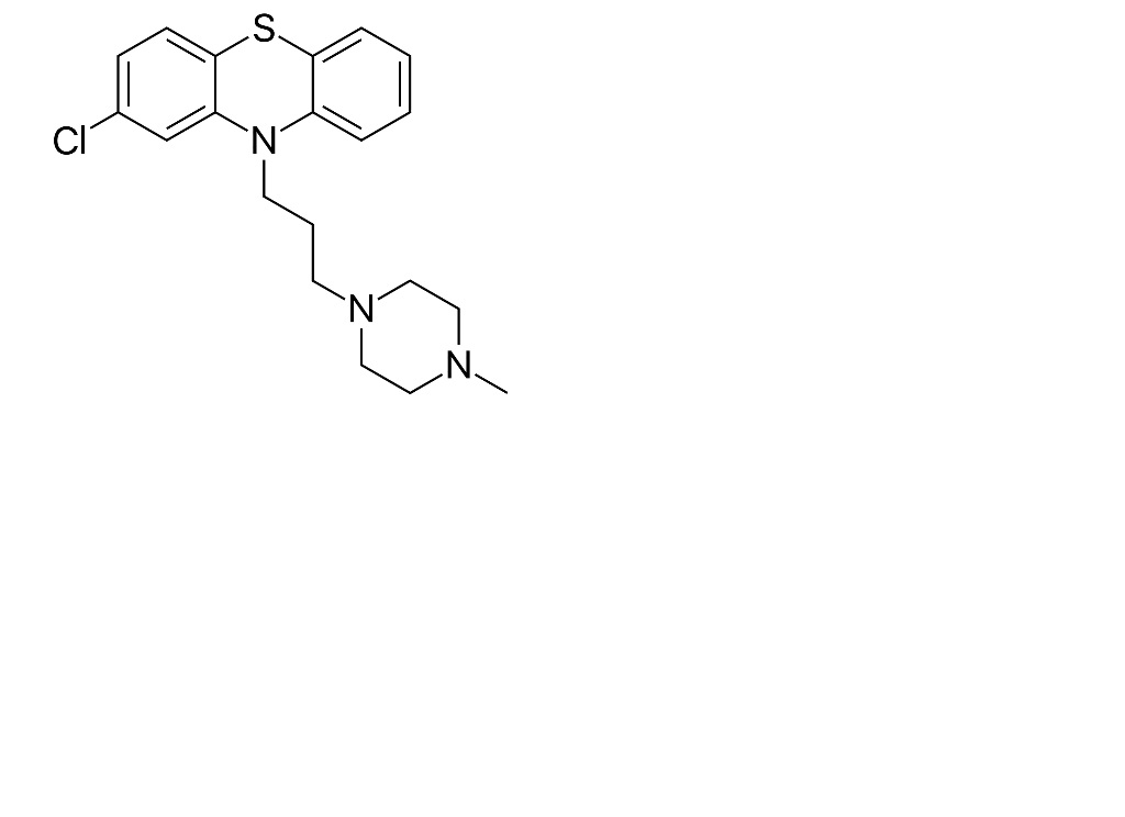
Antiemetic   Prochlorperazine edysilate  
nasal drops
injection
Stability of pharmaceutical preparations Stability of mixtures Factors which affect stability Compatibility References pdf
   Chemical structure  

nasal drops
Stability of mixtures   nasal drops   Stability of mixtures : Prochlorperazine edysilate     
No data

  Mentions Légales