Останнє оновлення :
18/03/2026
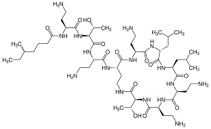
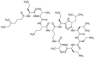
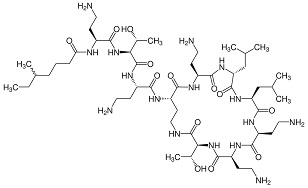
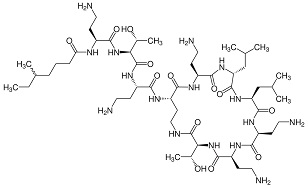
Антибіотик   Colistin sulfate  
Розчин для перорального застосування
Стабільність фармацевтичних препаратів Стійкість сумішей Фактори, що впливають на стабільність Сумісність Список літератури pdf
   Хімічна структура  

Розчин для перорального застосування
Сумісність   Розчин для перорального застосування   Сумісність : Colistin sulfate              
7 / 5 000 Résultats de traduction Немає даних

  Mentions Légales