Последнее обновление :
18/03/2026
Антибиотик   Colistin sulfate  
Раствор для перорального приёма
Стабильность фармацевтических препаратов Стабильность смесей Факторы, которые влияют на стабильность Совместимость Библиография pdf
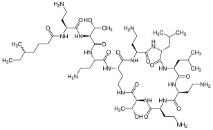
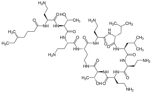
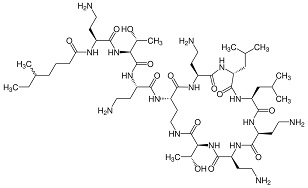
   Химическая структура  

Раствор для перорального приёма
Совместимость   Раствор для перорального приёма   Совместимость : Colistin sulfate              
данных нет

  Mentions Légales