zadnja posodobitev :
18/03/2026
Antibiotik   Colistin sulfate  
Peroralna raztopina
Stabilnost farmacevtskih preparatov Stabilnost mešanice Faktorji, ki vplivajo na stabilnost Kompatibilnost Viri pdf
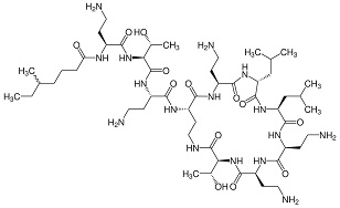
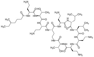
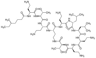
   Kemična formula  

Peroralna raztopina
Kompatibilnost   Peroralna raztopina   Kompatibilnost : Colistin sulfate              
ni podatka

  Mentions Légales