Laatste update :
18/03/2026
Antibioticum   Colistin sulfate  
Orale Oplossing
Stabiliteit van farmaceutische preparaten Stabiliteit in mengsels Factoren die de stabiliteit beïnvloeden Verenigbaarheden Literatuur pdf
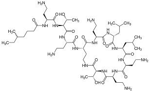
   Molecuulstructuur  

Orale Oplossing
Verenigbaarheden   Orale Oplossing   Verenigbaarheden : Colistin sulfate              
geen gegevens

  Mentions Légales