Utolsó frissítés :
18/03/2026
Antibiotikum   Colistin sulfate  
belsőleges oldat
Stabilitása gyógyszerészeti készítmények A keverékek stabilitása Stabilitást befolyásoló tényezők Kompatibilitás Irodalom pdf
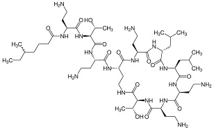
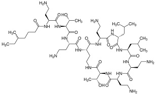
   Kémiai szerkezet   

belsőleges oldat
Kompatibilitás   belsőleges oldat   Kompatibilitás : Colistin sulfate              
Hiányzó adat

  Mentions Légales