Poslední aktualizace :
18/03/2026
Antibiotikas   Colistin sulfate  
Geriamas tirpalas
Stabilumas farmacinių preparatų Mišinių stabilumas Stabilumą lemiantys veiksniai Suderinamumas Bibliografija pdf
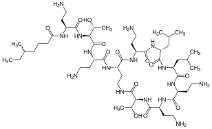
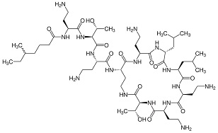
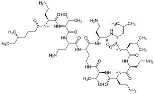
   Cheminė sandara  

Geriamas tirpalas
Suderinamumas   Geriamas tirpalas   Suderinamumas : Colistin sulfate              
Nėra duomenų

  Mentions Légales