viimane versioon :
18/03/2026
antibiootikum   Colistin sulfate  
suukaudne lahus
Stabiilsust ravimpreparaadid Stabiilsust mõjutavad tegurid stabiilsust mõjutavad faktorid Sobimatus Viited pdf
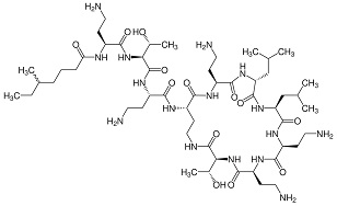
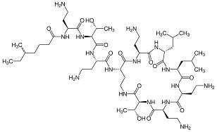
   keemiline struktuur  

suukaudne lahus
Sobimatus   suukaudne lahus   Sobimatus : Colistin sulfate              
andmed puuduvad

  Mentions Légales