Ultimo aggiornamento :
18/03/2026
Antibiotico   Colistin sulfate  
Soluzione orale
Stabilità dei preparati farmaceutici Stabilità in miscela Fattori che influenzano la stabilità Compatibilità Bibliografia pdf
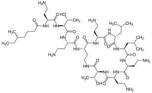
   Struttura chimica  

Soluzione orale
Compatibilità   Soluzione orale   Compatibilità : Colistin sulfate              
Assenza di dati

  Mentions Légales