Senaste uppdateringen :
18/03/2026
Infostab
Förteckning över substanser
Sammanfattande listor
Sök efter kompatibilitet
Kompatibilitetstabell
Hänvisningar
forskargrupper
valistab
Posters
Anslutningar
sponsorer
Författare
Användaranvisning
Nyhetsbladet
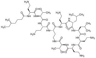
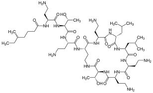
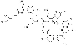
Colistin sulfate
Molekylstruktur
Kompatibilitet : Colistin sulfate
Ingen uppgift
Mentions Légales