Viimeisin päivitys :
18/03/2026
Antibiootit   Colistin sulfate  
Oraaliliuos
Vakaus lääkevalmisteen Stabilius seoksissa Tekijät, jotka vaikuttavat stabiliuteen Yhteensopivuus Viitteet pdf
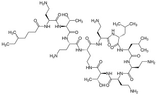
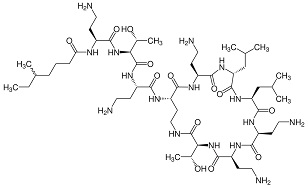
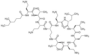
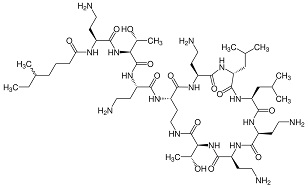
   Kemiallinen rakenne  

Oraaliliuos
Yhteensopivuus   Oraaliliuos   Yhteensopivuus : Colistin sulfate              
ei tietoa

  Mentions Légales