Pēdējā atjaunošana :
27/11/2025
Pretiekaisuma līdzeklis   Ketoprofene  
Ziedes
Injekcija Orāls šķīdums Supozitorijs
Stabilitāte farmaceitisko preparātu Maisījuma stabilitāte Stabilitāti ietekmējoši faktori Saderība Literatūras saraksts pdf
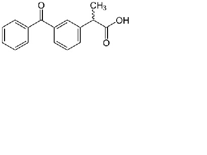
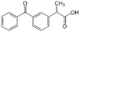
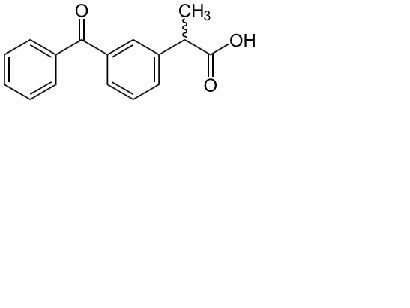
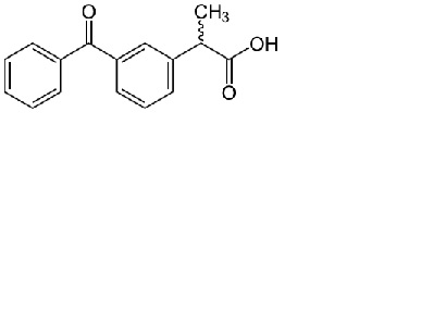
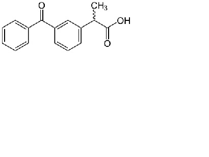
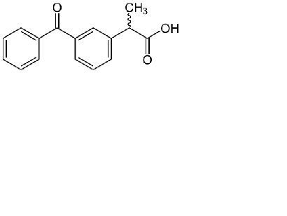
   Ķīmiskā uzbūve   

Ziedes
Stabilitāte farmaceitisko preparātu   Ziedes   Stabilitāte farmaceitisko preparātu : Ketoprofene     
Nav datu

  Mentions Légales