Laatste update :
27/11/2025
Ontstekingsremmer   Ketoprofene  
zalf
injecteerbaar geneesmiddel Orale Oplossing zetpil
Stabiliteit van farmaceutische preparaten Stabiliteit in mengsels Factoren die de stabiliteit beïnvloeden Verenigbaarheden Literatuur pdf
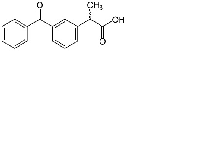
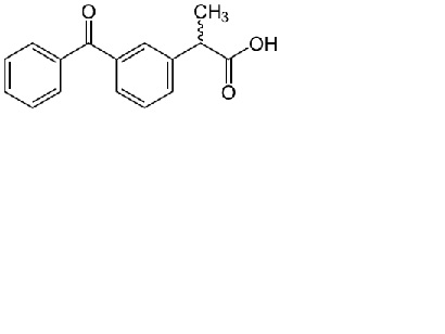
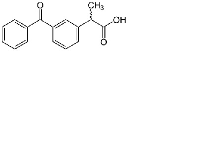
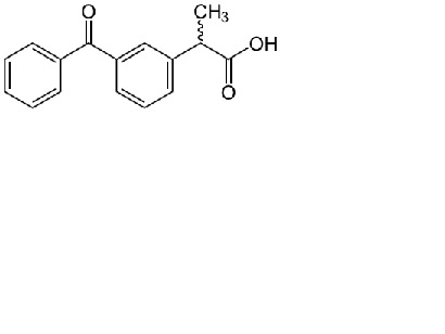
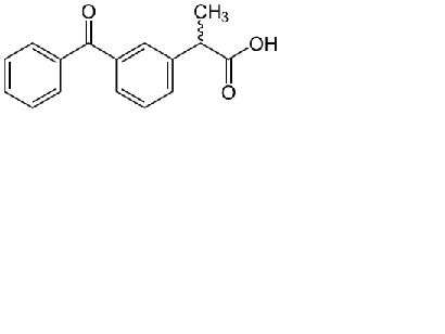
   Molecuulstructuur  

zalf
Stabiliteit van farmaceutische preparaten   zalf   Stabiliteit van farmaceutische preparaten : Ketoprofene     
geen gegevens

  Mentions Légales