Letztes “update” :
27/11/2025
Entzündungshemmend   Ketoprofene  
Salben
Injektion Lösung zum Einnehmen Zäpfchen
Stabilität von pharmazeutischen Präparaten Gemengestabilität Stabilitätbeeinflussende Faktoren Kompatibilitäten Literaturverzeichnis pdf
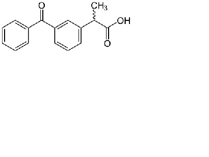
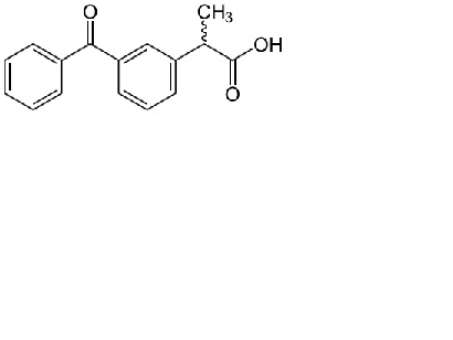
   Chemische Struktur  

Salben
Stabilität von pharmazeutischen Präparaten   Salben   Stabilität von pharmazeutischen Präparaten : Ketoprofene     
Keine Daten

  Mentions Légales