Last update :
27/11/2025
Anti-inflammatory   Ketoprofene  
Ointments
injection Oral solution suppository
Stability of pharmaceutical preparations Stability of mixtures Factors which affect stability Compatibility References pdf
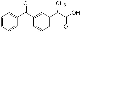
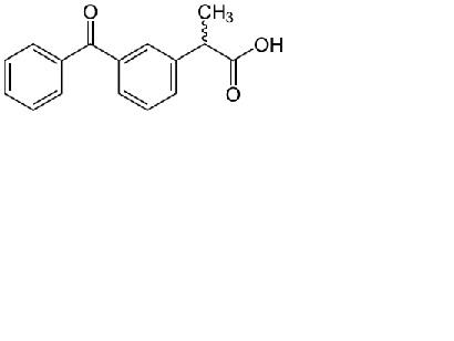
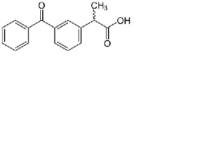
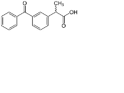
   Chemical structure  

Ointments
Stability of pharmaceutical preparations   Ointments   Stability of pharmaceutical preparations : Ketoprofene     
No data

  Mentions Légales