最新更新 :
18/03/2026
抗炎症薬   Ketoprofene  
軟膏薬
坐薬 注射薬 経口液
調剤時の安定性 混合時の安定性 安定性に影響する因子 互換性 引用文献 PDF
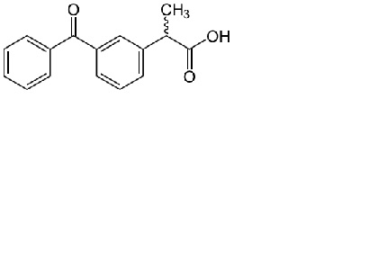
   化学構造  

軟膏薬
調剤時の安定性   軟膏薬   調剤時の安定性 : Ketoprofene     
データなし

  Mentions Légales