Dernière mise à jour :
18/03/2026
Antiinflammatoire   Ketoprofene  
Forme dermique
injectable Solution buvable Suppositoires
Stabilité des préparations Stabilité en mélange Facteur influençant la stabilité Compatibilités Bibliographie pdf
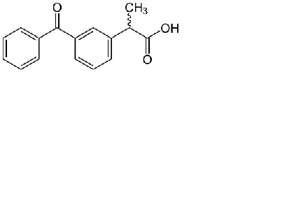
   Structure chimique  

Forme dermique
Stabilité des préparations   Forme dermique   Stabilité des préparations : Ketoprofene     
Aucune donnée

  Mentions Légales