Seneste opdatering :
17/12/2025
Antiinflammatorisk   Ketoprofene  
Salver
Injektion Oral opløsning Stikpille
Stabilitet af farmaceutiske tilberedninger Stabilitet i blandinger Faktorer der påvirker stabiliteten Kompatibilitet Bibliografi pdf
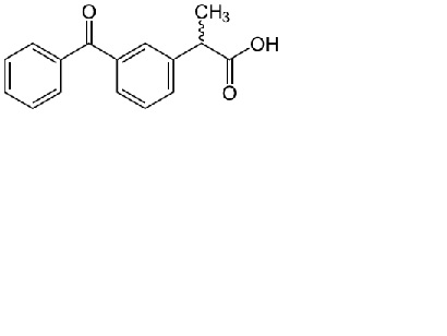
   Kemisk struktur  

Salver
Stabilitet af farmaceutiske tilberedninger   Salver   Stabilitet af farmaceutiske tilberedninger : Ketoprofene     
Ingen data

  Mentions Légales