Son güncelleme :
27/11/2025
Antienflamatuvar   Ketoprofene  
Merhem
Enjeksiyon Fitil Oral solüsyon / oral çözelti
Farmasötik preparatlar Kararlılığı Karışımlardaki stabilitesi Stabiliteyi etkileyen faktörler Uyumluluk Kaynaklar pdf
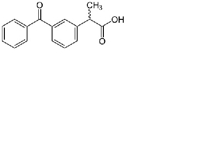
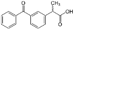
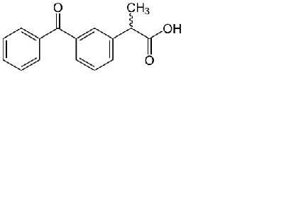
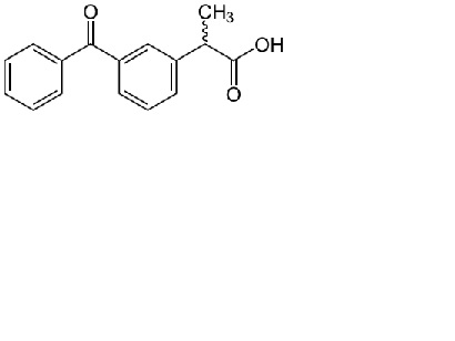
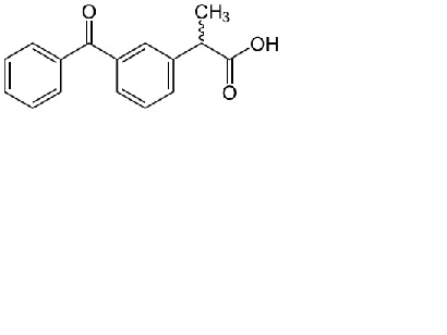
   Kimyasal yapı   

Merhem
Farmasötik preparatlar Kararlılığı   Merhem   Farmasötik preparatlar Kararlılığı : Ketoprofene     
veri yok

  Mentions Légales