Zadnji put ažurirano :
27/11/2025
protuupalni   Ketoprofene  
masti
čepić injekcija oralna otopina
Stabilnost farmaceutskih pripravaka Stabilnost mješavine Stabilizacijski faktor Kompatibilnosti Bibliografija pdf
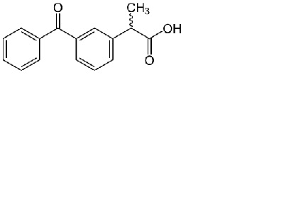
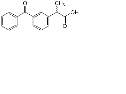
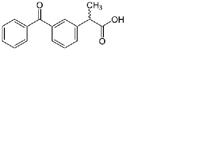
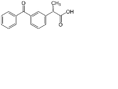
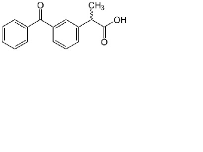
   Kemijska struktura  

masti
Stabilnost farmaceutskih pripravaka   masti   Stabilnost farmaceutskih pripravaka : Ketoprofene     
bez podataka

  Mentions Légales