Останнє оновлення :
31/03/2026
Антибіотик   Clindamycine hydrochloride  
Розчин для перорального застосування
Стабільність фармацевтичних препаратів Стійкість сумішей Фактори, що впливають на стабільність Сумісність Список літератури pdf
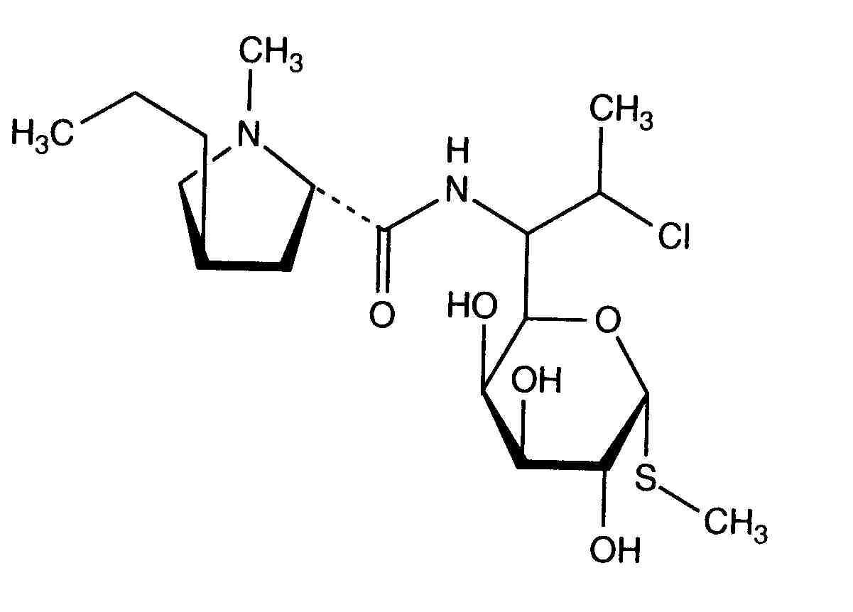
   Хімічна структура  

Розчин для перорального застосування

Фактори, що впливають на стабільність   Розчин для перорального застосування   Фактори, що впливають на стабільність : Clindamycine hydrochloride        
7 / 5 000 Résultats de traduction Немає даних

  Mentions Légales