Seneste opdatering :
31/03/2026
Antibiotisk   Clindamycine hydrochloride  
Oral opløsning
Stabilitet af farmaceutiske tilberedninger Stabilitet i blandinger Faktorer der påvirker stabiliteten Kompatibilitet Bibliografi pdf
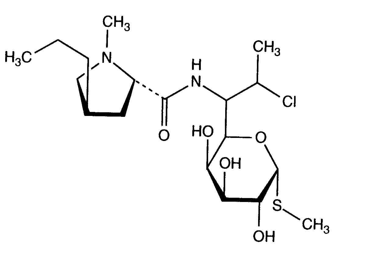
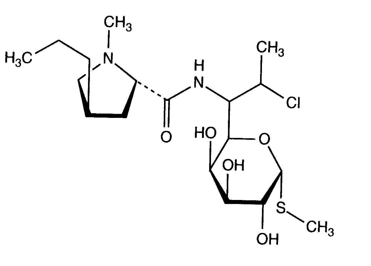
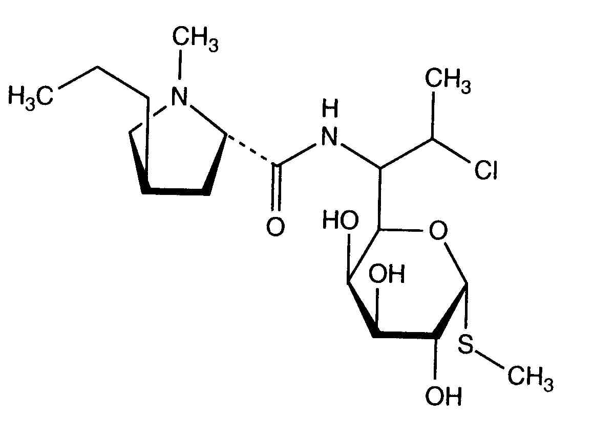
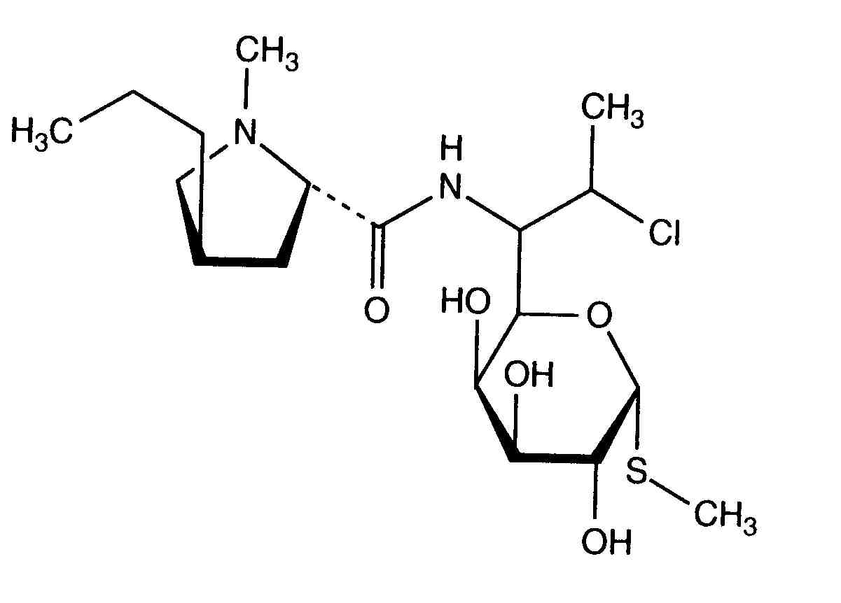
   Kemisk struktur  

Oral opløsning

Faktorer der påvirker stabiliteten   Oral opløsning   Faktorer der påvirker stabiliteten : Clindamycine hydrochloride        
Ingen data

  Mentions Légales