Posledná aktualizácia :
31/03/2026
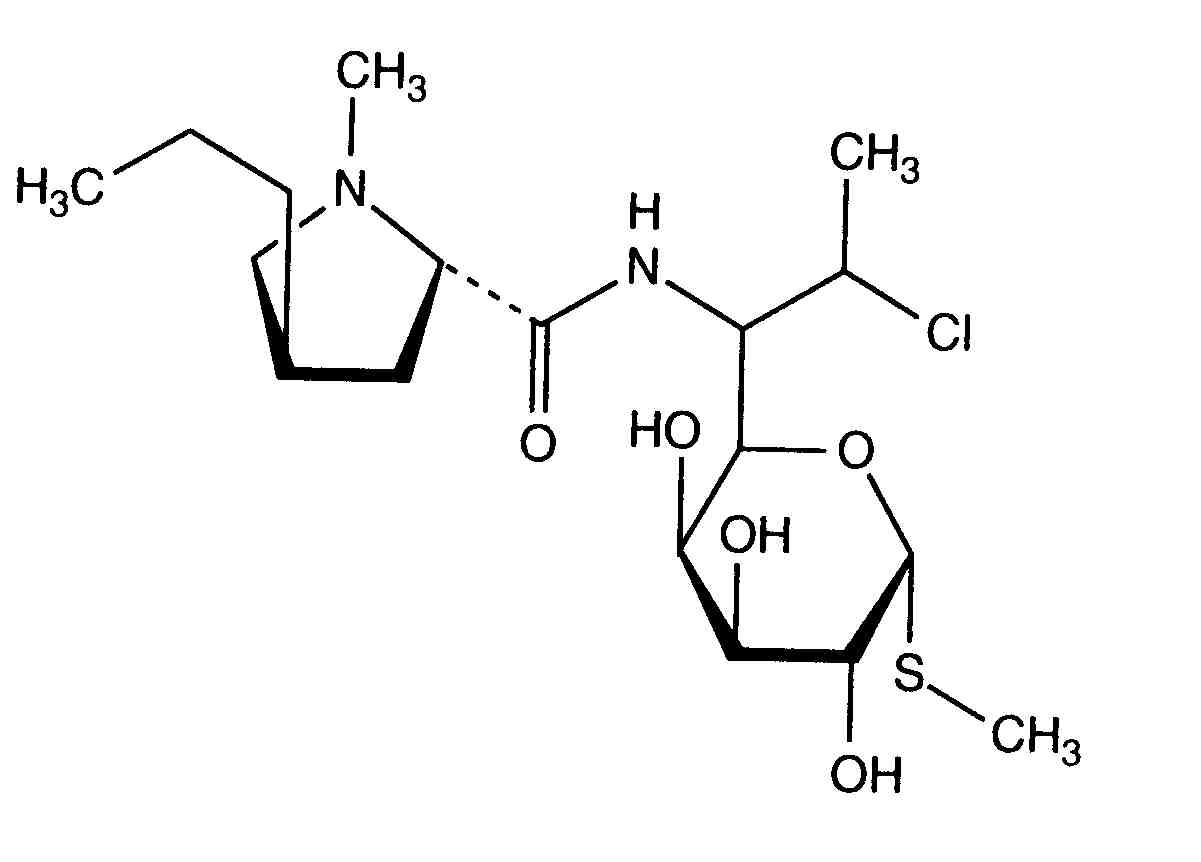
antibiotikum   Clindamycine hydrochloride  
Perorálny roztok
Stabilita farmaceutických prípravkov Stabilita v zmesiach Faktory ovplyvňujúce stabilitu Kompatibility Odkazy na literatúru PDF
   Chemický vzorec  

Perorálny roztok

Faktory ovplyvňujúce stabilitu   Perorálny roztok   Faktory ovplyvňujúce stabilitu : Clindamycine hydrochloride        
žiadne údaje

  Mentions Légales