Senaste uppdateringen :
31/03/2026
Antibiotikum   Clindamycine hydrochloride  
Oral lösning
Stabilitet av läkemedel Stabilitet i blandningar Faktorer som påverkar stabiliteten Kompatibilitet Hänvisningar pdf
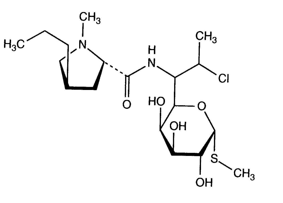
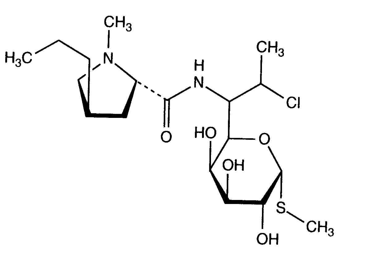
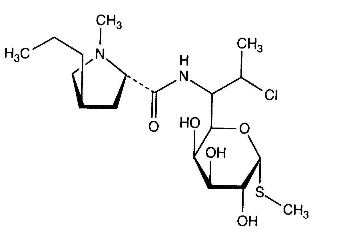
   Molekylstruktur  

Oral lösning

Faktorer som påverkar stabiliteten   Oral lösning   Faktorer som påverkar stabiliteten : Clindamycine hydrochloride        
Ingen uppgift

  Mentions Légales