Последнее обновление :
31/03/2026
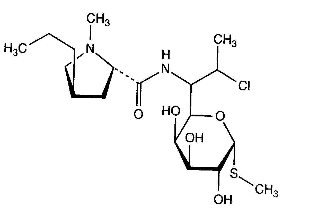
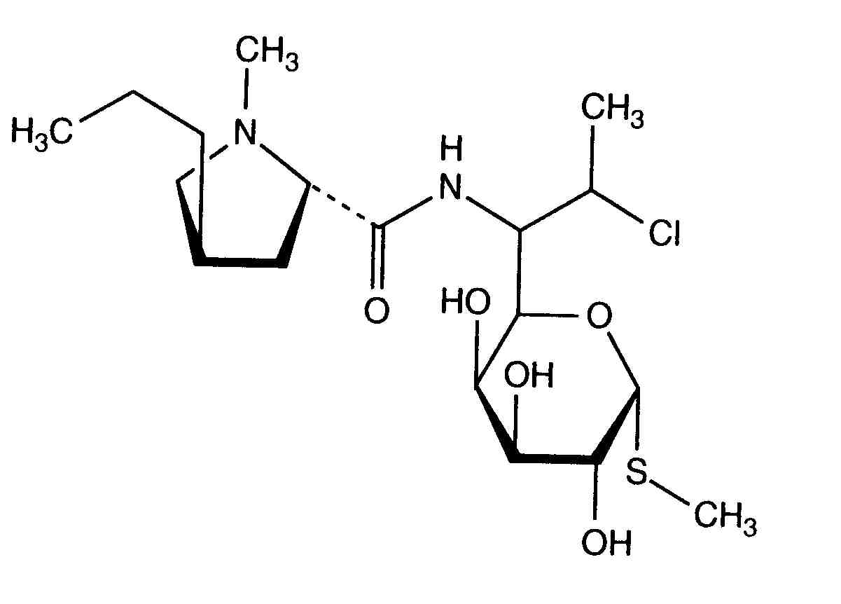
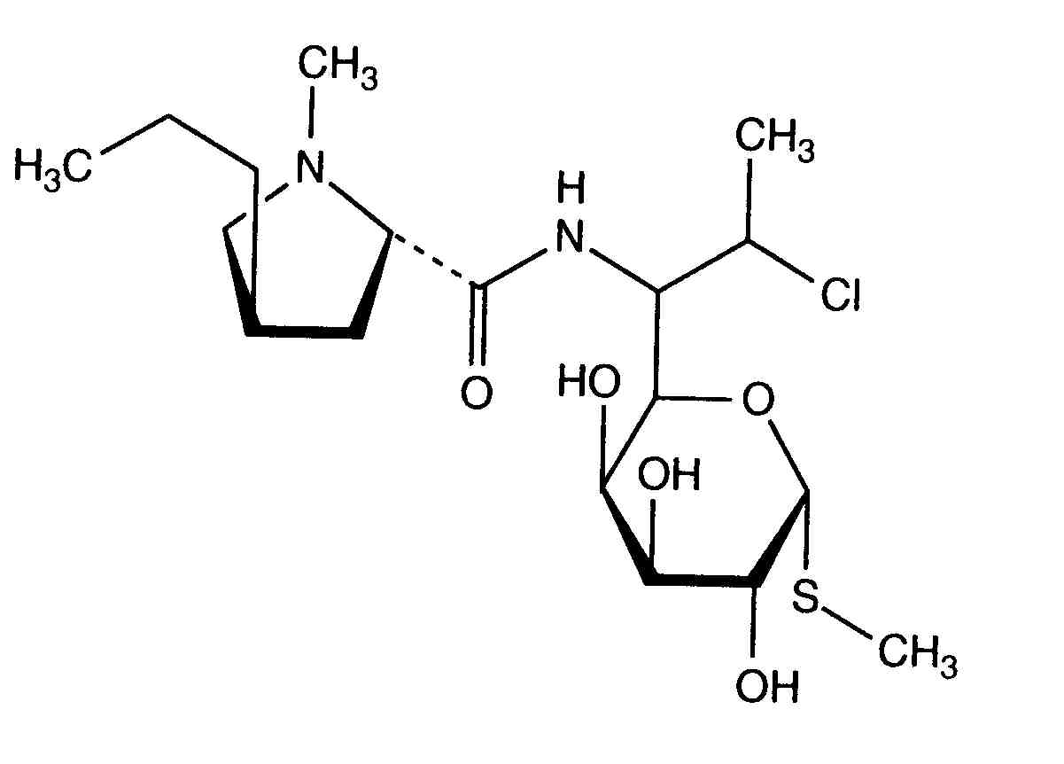
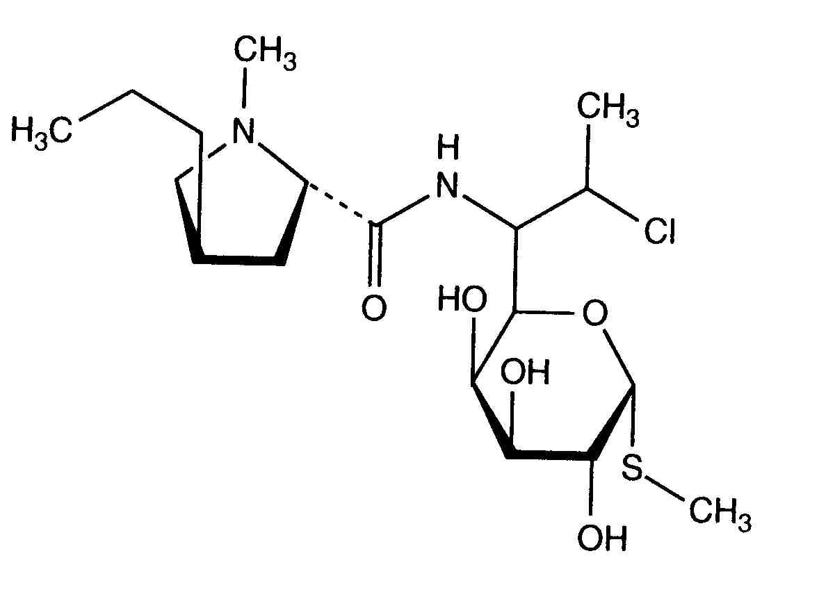
Антибиотик   Clindamycine hydrochloride  
Раствор для перорального приёма
Стабильность фармацевтических препаратов Стабильность смесей Факторы, которые влияют на стабильность Совместимость Библиография pdf
   Химическая структура  

Раствор для перорального приёма

Факторы, которые влияют на стабильность   Раствор для перорального приёма   Факторы, которые влияют на стабильность : Clindamycine hydrochloride        
данных нет

  Mentions Légales