Ostatnia aktualizacja :
31/03/2026
Antybiotyk   Clindamycine hydrochloride  
Roztwór doustny
Stabilność preparatów farmaceutycznych Trwałość w mieszaninie Czynnik wpływający na trwałość Zgodność Bibliografia pdf
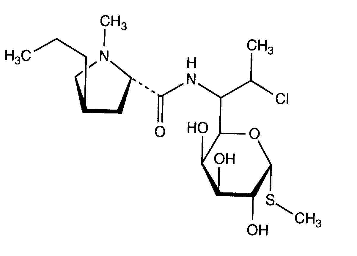
   Struktura chemiczna  

Roztwór doustny

Czynnik wpływający na trwałość   Roztwór doustny   Czynnik wpływający na trwałość : Clindamycine hydrochloride        
Brak danych

  Mentions Légales