Pēdējā atjaunošana :
31/03/2026
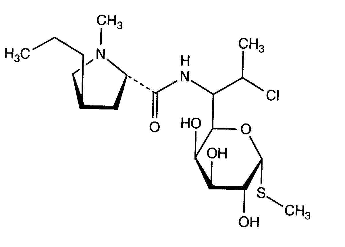
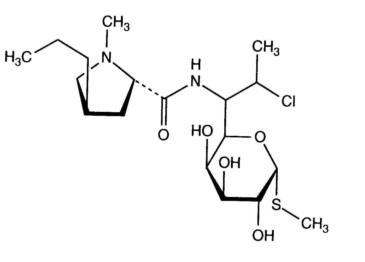
Antibiotika   Clindamycine hydrochloride  
Orāls šķīdums
Stabilitāte farmaceitisko preparātu Maisījuma stabilitāte Stabilitāti ietekmējoši faktori Saderība Literatūras saraksts pdf
   Ķīmiskā uzbūve   

Orāls šķīdums

Stabilitāti ietekmējoši faktori   Orāls šķīdums   Stabilitāti ietekmējoši faktori : Clindamycine hydrochloride        
Nav datu

  Mentions Légales