Τελευταία ενημέρωση :
31/03/2026
Αντιβιοτικό   Clindamycine hydrochloride  
Πόσιμο διάλυμα
Σταθερότητα και συμβατότητα των φαρμάκων Σταθερότητα σε μίγματα Παράγοντας που επηρεάζει τη σταθερότητα Συμβατότητες Βιβλιογραφία pdf
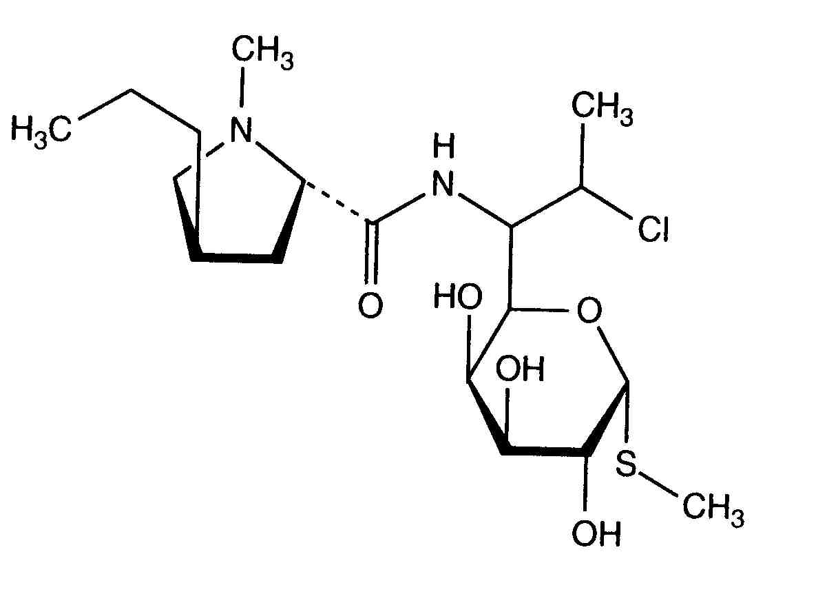
   χημική δομή  

Πόσιμο διάλυμα

Παράγοντας που επηρεάζει τη σταθερότητα   Πόσιμο διάλυμα   Παράγοντας που επηρεάζει τη σταθερότητα : Clindamycine hydrochloride        
Δεν υπάρχουν πληροφορίες

  Mentions Légales