最新更新 :
31/03/2026
抗菌薬   Clindamycine hydrochloride  
経口液
調剤時の安定性 混合時の安定性 安定性に影響する因子 互換性 引用文献 PDF
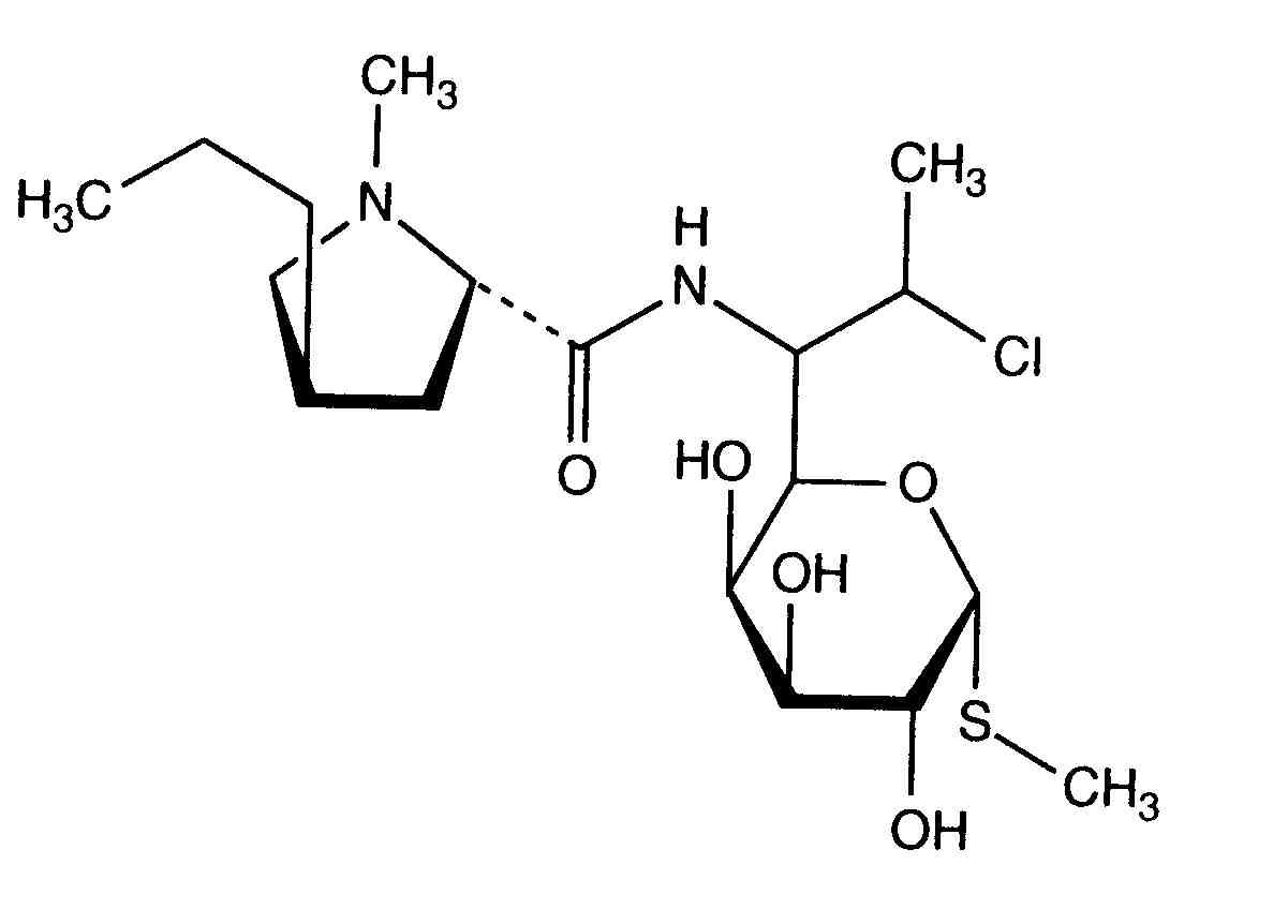
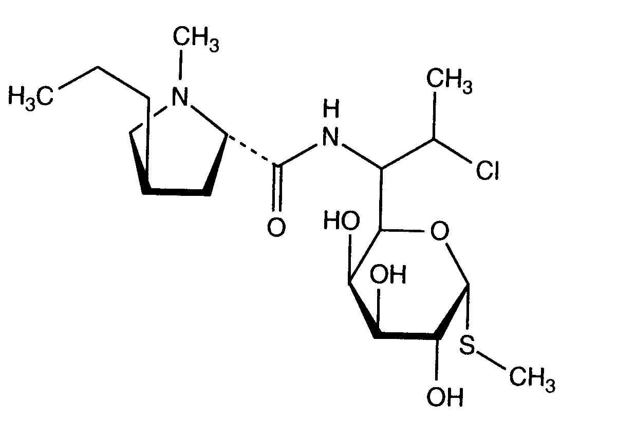
   化学構造  

経口液

安定性に影響する因子   経口液   安定性に影響する因子 : Clindamycine hydrochloride        
データなし

  Mentions Légales