viimane versioon :
31/03/2026
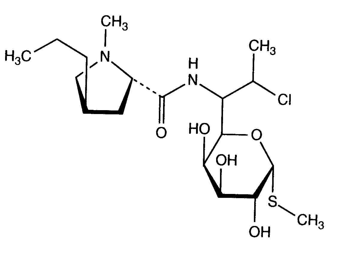
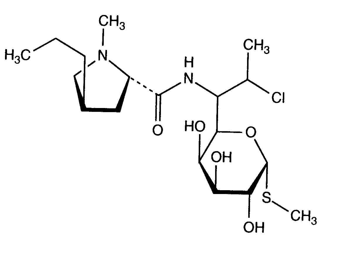
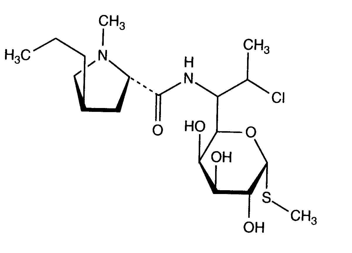
antibiootikum   Clindamycine hydrochloride  
suukaudne lahus
Stabiilsust ravimpreparaadid Stabiilsust mõjutavad tegurid stabiilsust mõjutavad faktorid Sobimatus Viited pdf
   keemiline struktuur  

suukaudne lahus

stabiilsust mõjutavad faktorid   suukaudne lahus   stabiilsust mõjutavad faktorid : Clindamycine hydrochloride        
andmed puuduvad

  Mentions Légales