Останнє оновлення :
12/02/2026
Антибіотик   Clindamycine hydrochloride  
Розчин для перорального застосування
Стабільність фармацевтичних препаратів Стійкість сумішей Фактори, що впливають на стабільність Сумісність Список літератури pdf
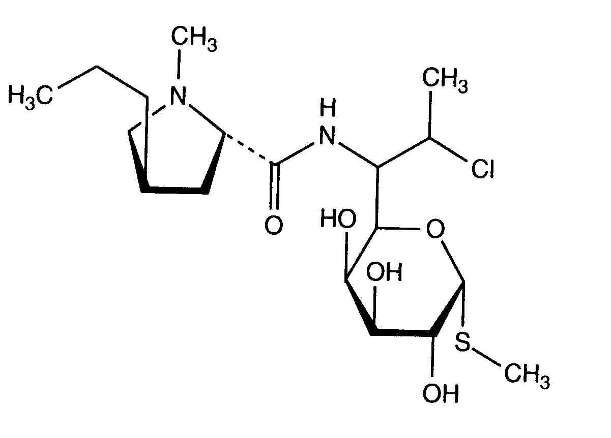
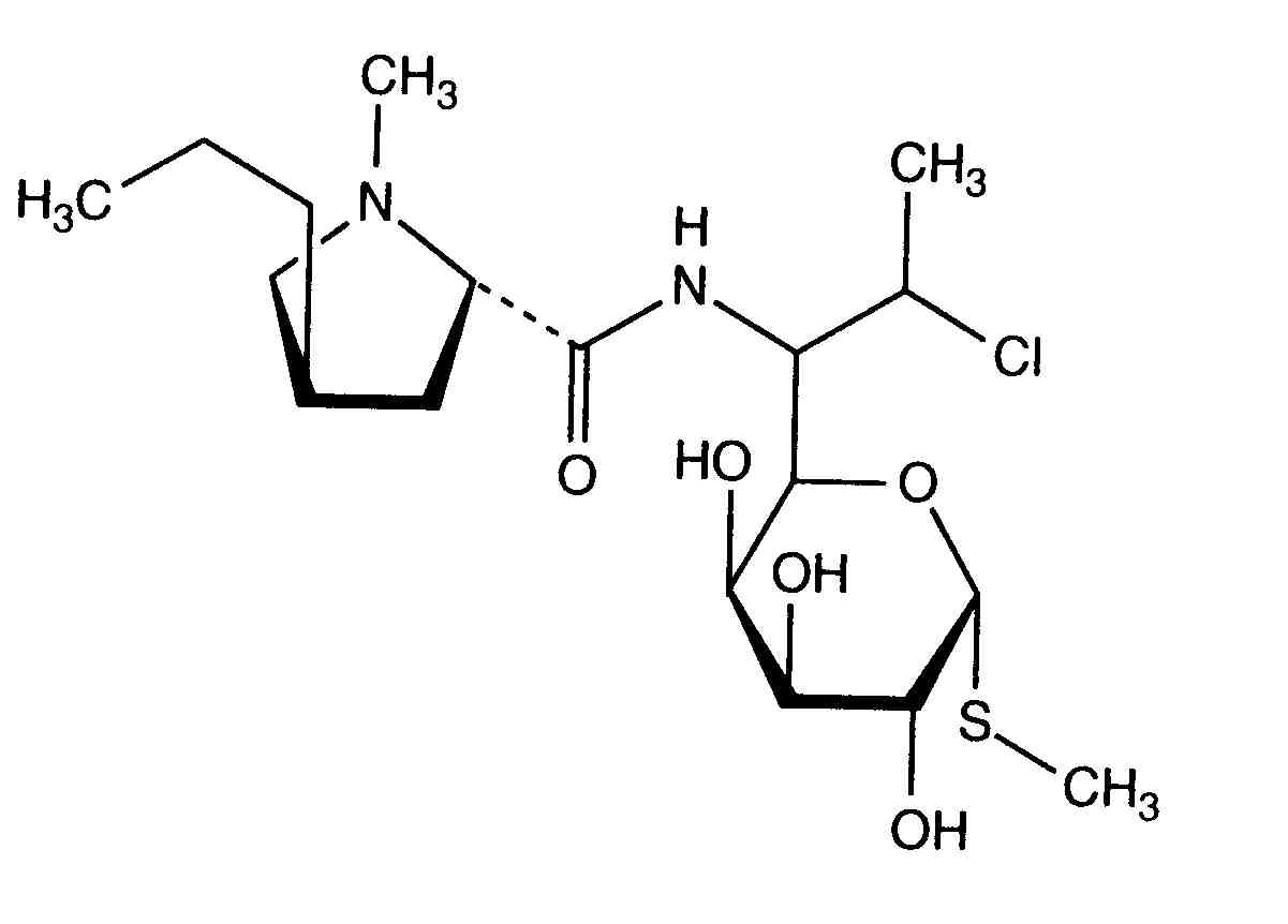
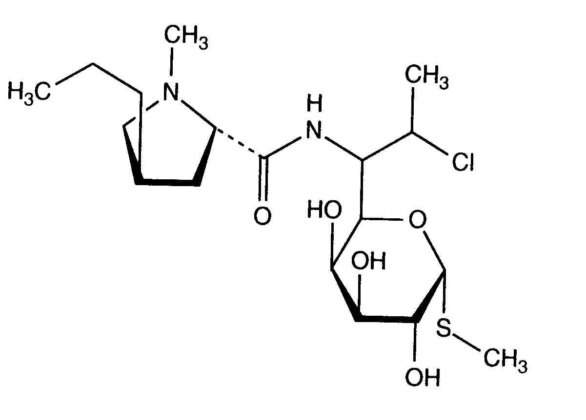
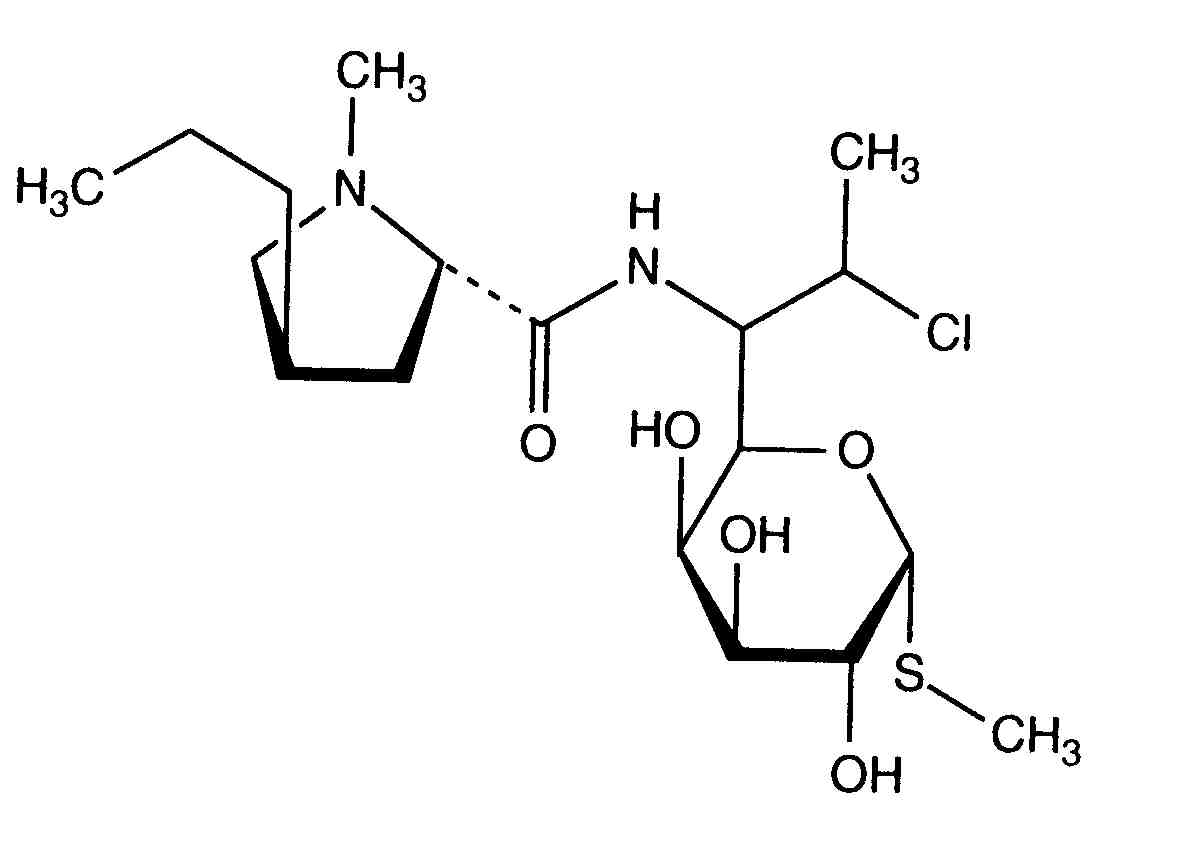
   Хімічна структура  

Розчин для перорального застосування
Стійкість сумішей   Розчин для перорального застосування   Стійкість сумішей : Clindamycine hydrochloride     
7 / 5 000 Résultats de traduction Немає даних

  Mentions Légales