Cập nhật lần cuối :
18/03/2026
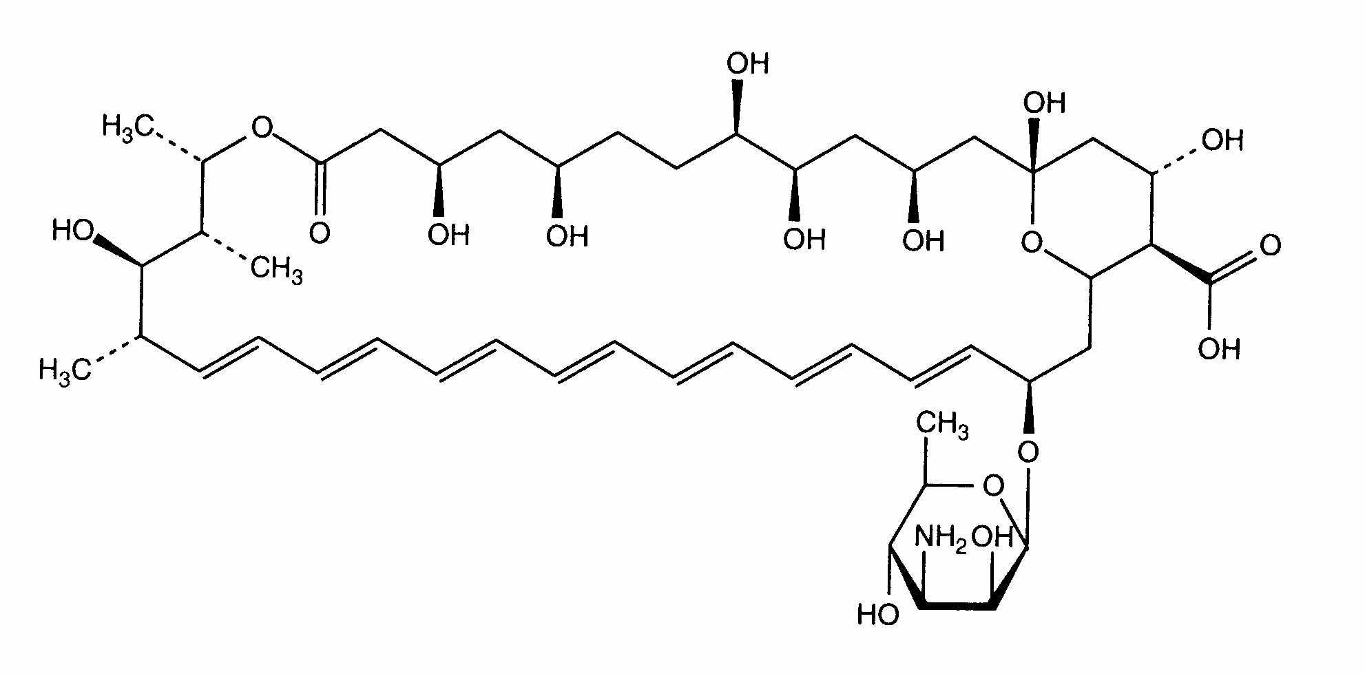
Thuốc chống nấm   Amphotericin B liposomale  
Thuốc nhỏ mắt
Dạng tiêm
Tính ổn định của các chế phẩm Độ ổn định khi trộn lẫn Những yếu tố ảnh hưởng đến độ ổn định Khả năng tương thích Tài liệu tham khảo Pdf
Liposome   Cấu trúc hóa học  

Thuốc nhỏ mắt
Tài liệu tham khảo   Thuốc nhỏ mắt   Tài liệu tham khảo : Amphotericin B liposomale  
Loại Nguồn
2654 Tạp chí Morand K, Bartoletti AC, Bochot A, Barratt G, Brandely ML, Chast F.
Liposomal amphotericin B eye drops to treat fungal keratitis: physico-chemical and formulation stability.
Int J Pharm 2007 ; 344, 1-2: 150-153.

  Mentions Légales