Letztes “update” :
18/03/2026
Antifungoid   Amphotericin B liposomale  
Augentropfen
Injektion
Stabilität von pharmazeutischen Präparaten Gemengestabilität Stabilitätbeeinflussende Faktoren Kompatibilitäten Literaturverzeichnis pdf
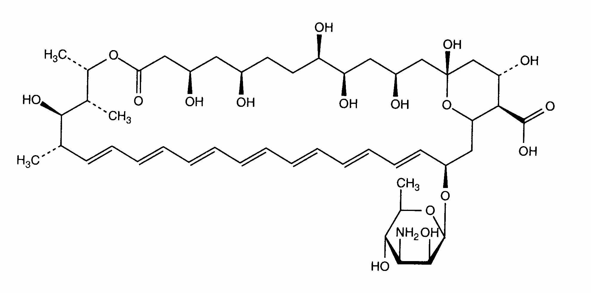
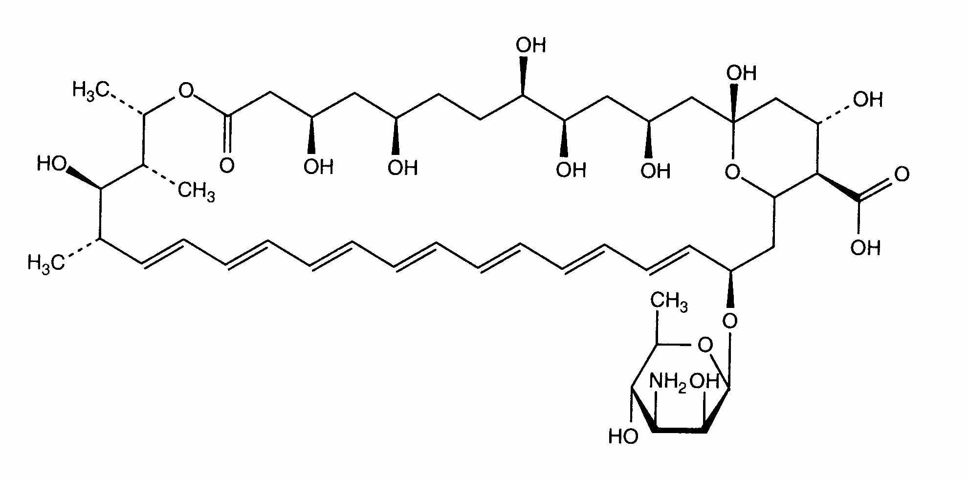
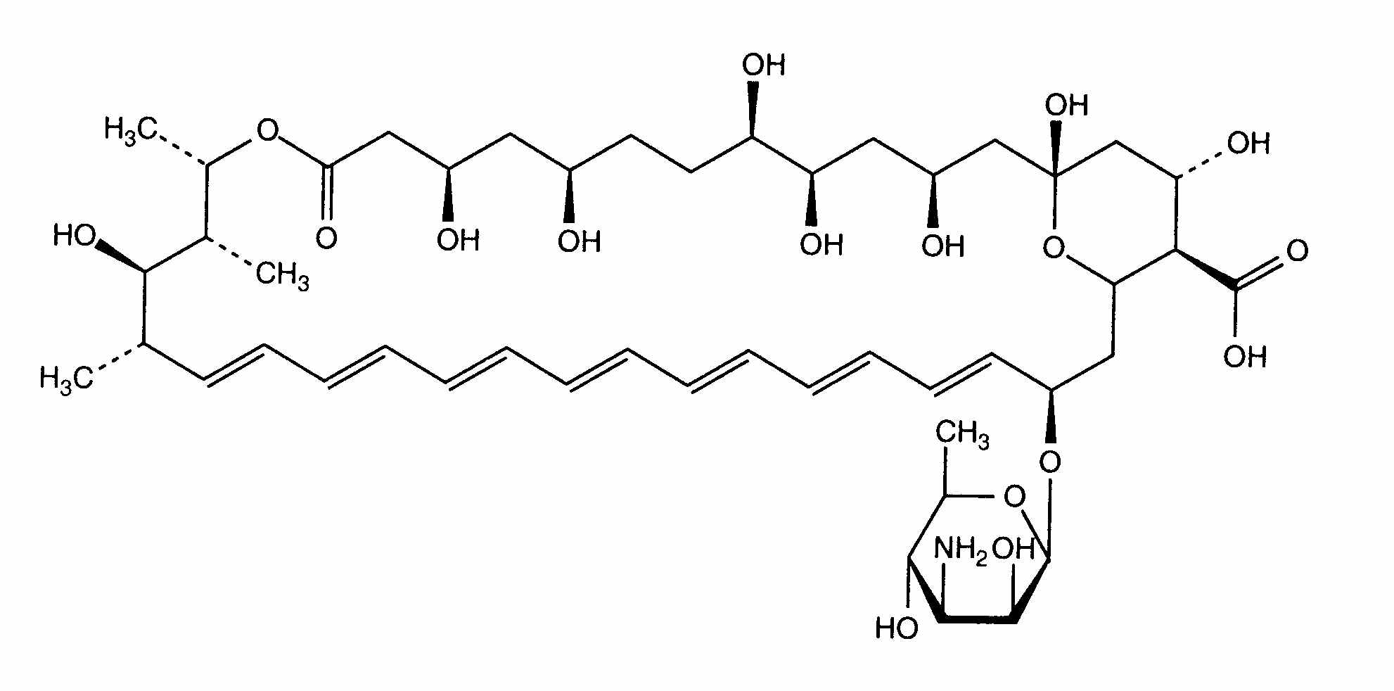
Liposom   Chemische Struktur  

Augentropfen
Literaturverzeichnis   Augentropfen   Literaturverzeichnis : Amphotericin B liposomale  
Typ Veröffentlichung
2654 Zeitung Morand K, Bartoletti AC, Bochot A, Barratt G, Brandely ML, Chast F.
Liposomal amphotericin B eye drops to treat fungal keratitis: physico-chemical and formulation stability.
Int J Pharm 2007 ; 344, 1-2: 150-153.

  Mentions Légales