Siste oppdatering :
18/03/2026
Fungicid   Amphotericin B liposomale  
Øyedråper
Injeksjon
Stabilitet av farmasøytiske preparater Stabilitet i blandinger Faktorer som påvirker stabiliteten Kompatibilitet Referanser pdf
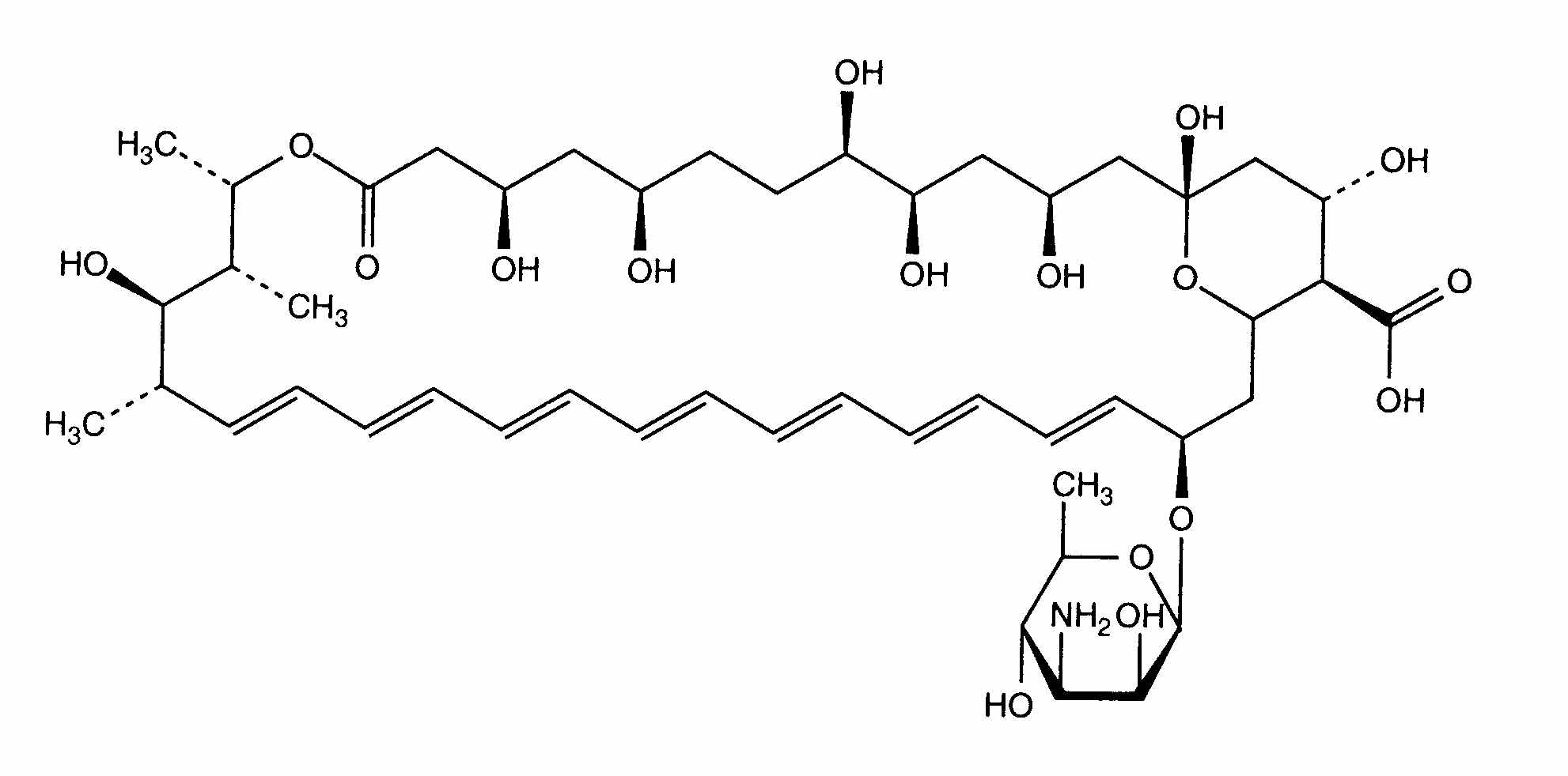
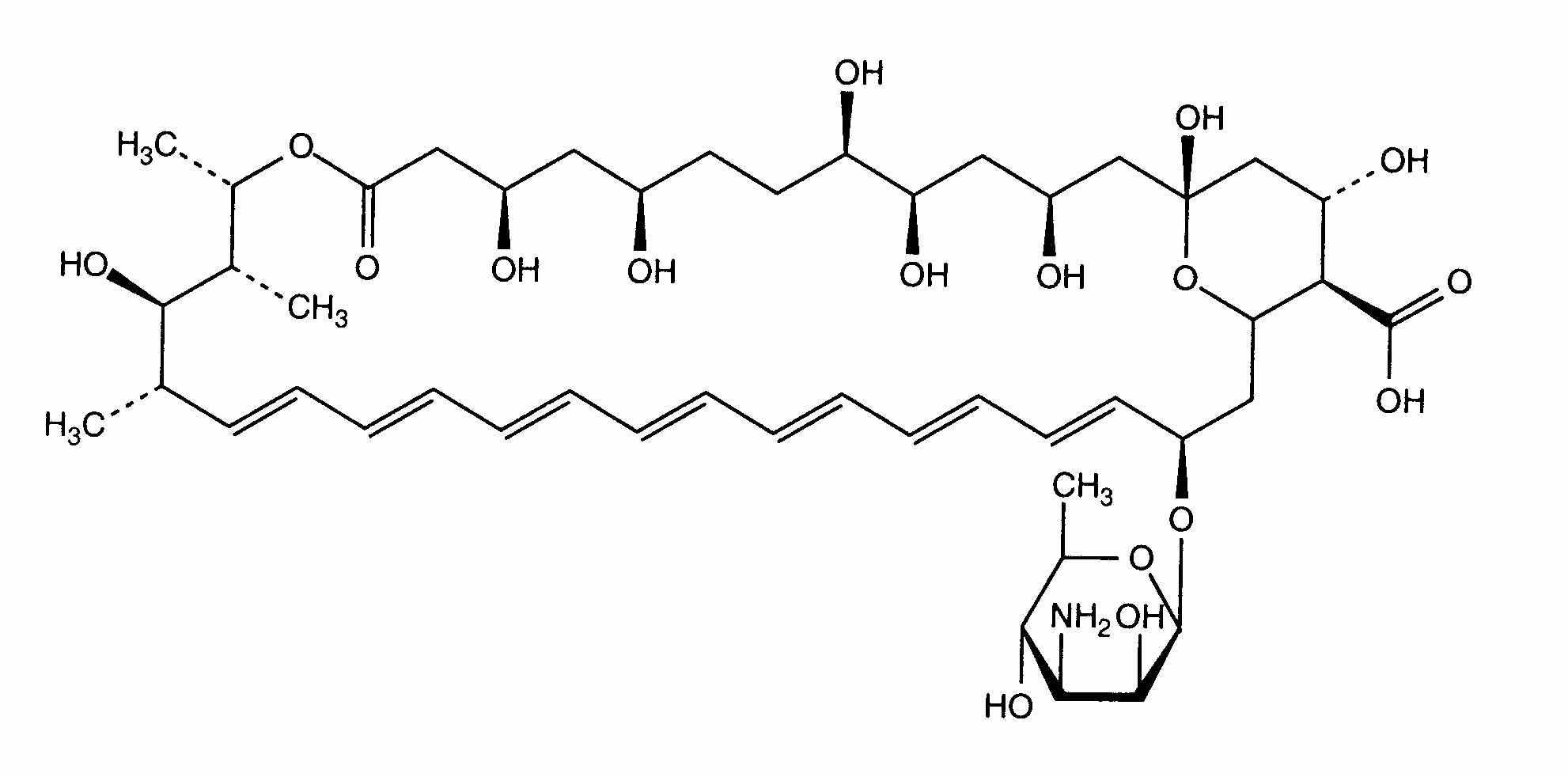
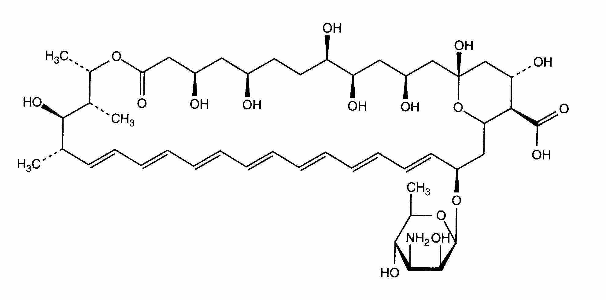
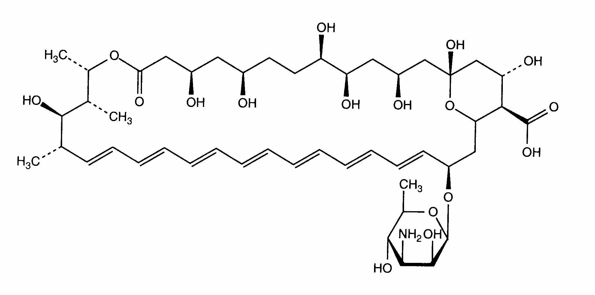
Liposom   Kjemisk struktur  

Øyedråper
Referanser   Øyedråper   Referanser : Amphotericin B liposomale  
Type publikasjon
2654 Journal Morand K, Bartoletti AC, Bochot A, Barratt G, Brandely ML, Chast F.
Liposomal amphotericin B eye drops to treat fungal keratitis: physico-chemical and formulation stability.
Int J Pharm 2007 ; 344, 1-2: 150-153.

  Mentions Légales