Zadnji put ažurirano :
18/03/2026
antifungicid   Amphotericin B liposomale  
kapi za oko
injekcija
Stabilnost farmaceutskih pripravaka Stabilnost mješavine Stabilizacijski faktor Kompatibilnosti Bibliografija pdf
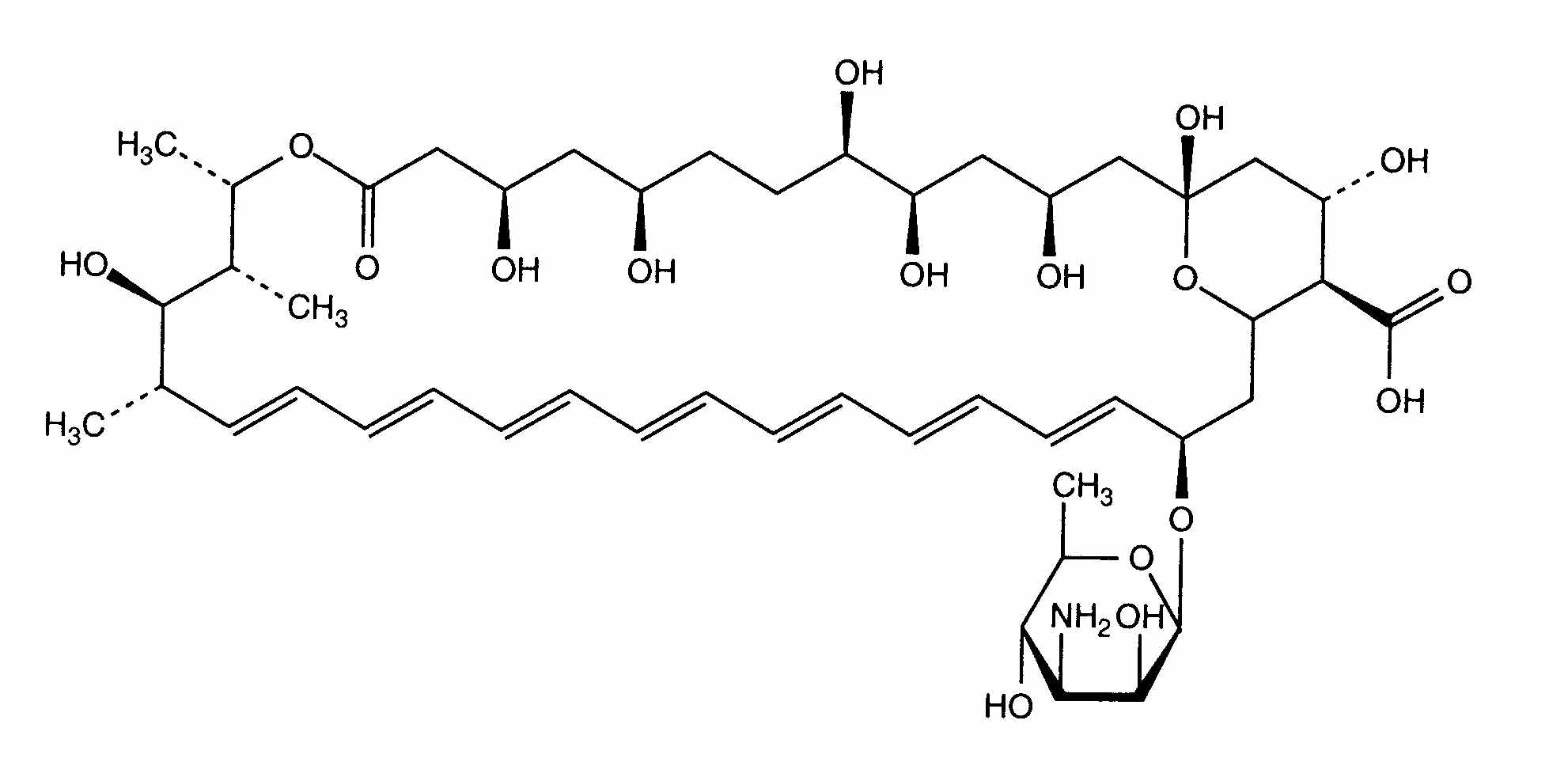
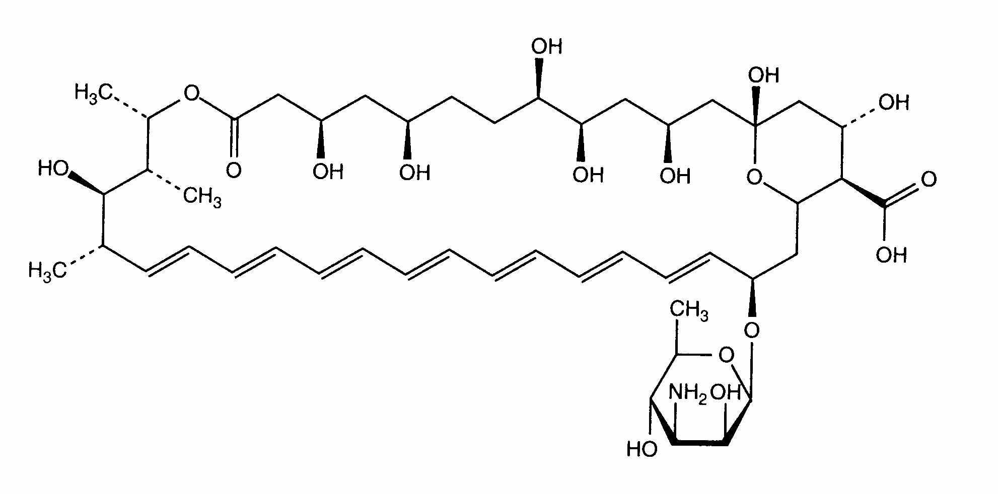
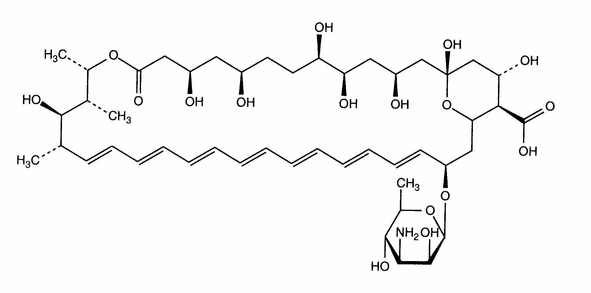
liposomi   Kemijska struktura  

kapi za oko
Bibliografija   kapi za oko   Bibliografija : Amphotericin B liposomale  
Vrsta Publikacija
2654 Časopis Morand K, Bartoletti AC, Bochot A, Barratt G, Brandely ML, Chast F.
Liposomal amphotericin B eye drops to treat fungal keratitis: physico-chemical and formulation stability.
Int J Pharm 2007 ; 344, 1-2: 150-153.

  Mentions Légales