最新更新 :
18/03/2026
抗真菌药   Amphotericin B liposomale  
眼药水
注射液
制剂的稳定性 混合物稳定性 影响稳定性的因素 兼容性 引用文献 PDF
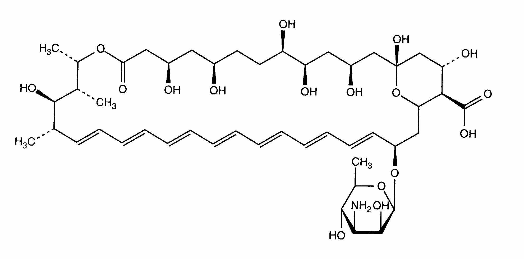
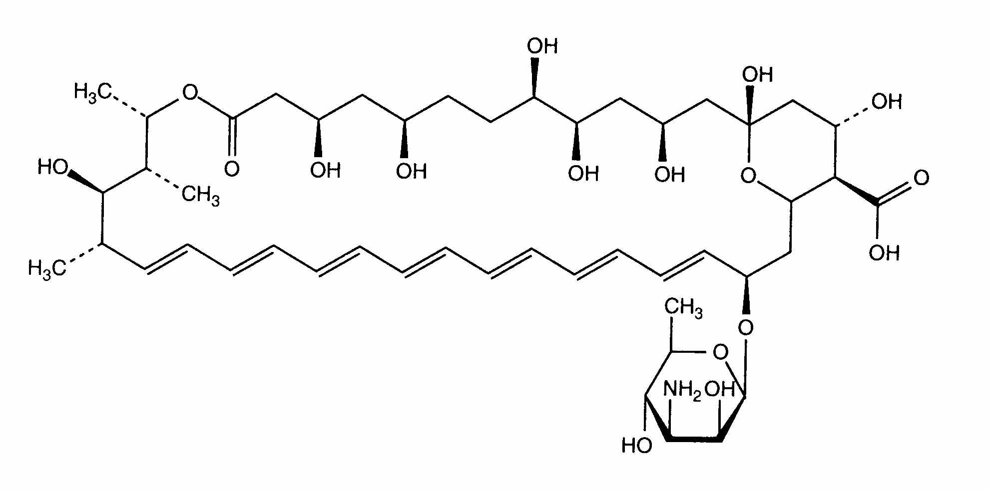
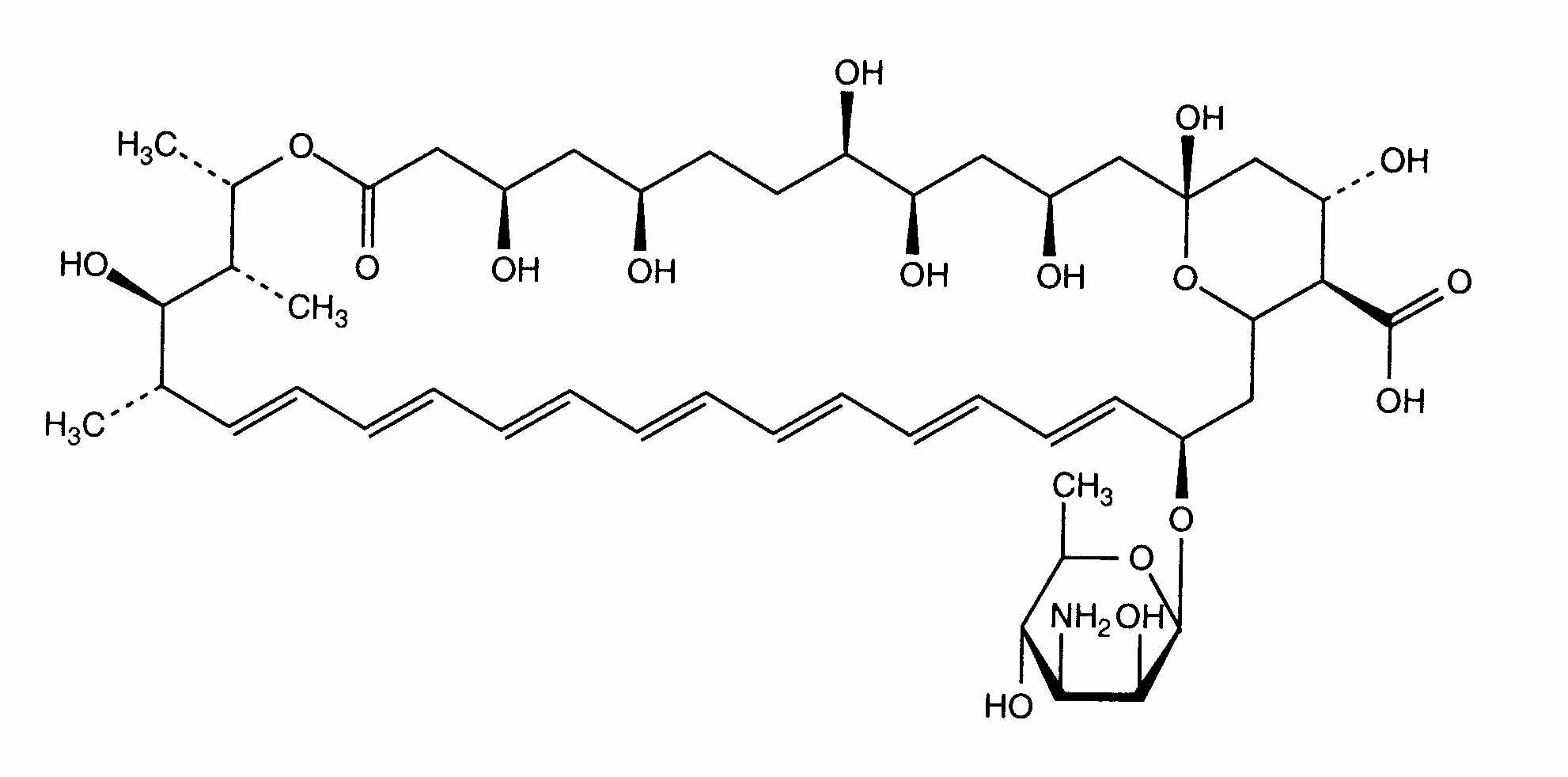
脂質體   化学式  

眼药水
引用文献   眼药水   引用文献 : Amphotericin B liposomale  
种类 出版物
2654 文献 Morand K, Bartoletti AC, Bochot A, Barratt G, Brandely ML, Chast F.
Liposomal amphotericin B eye drops to treat fungal keratitis: physico-chemical and formulation stability.
Int J Pharm 2007 ; 344, 1-2: 150-153.

  Mentions Légales