Poslední aktualizace :
18/03/2026
Protiplísňový přípravek   Amphotericin B liposomale  
Humbuk
injekce
Stabilita farmaceutických přípravků Stabilita směsí Faktory ovlivňující stabilitu Kompatibilita Odkazy pdf
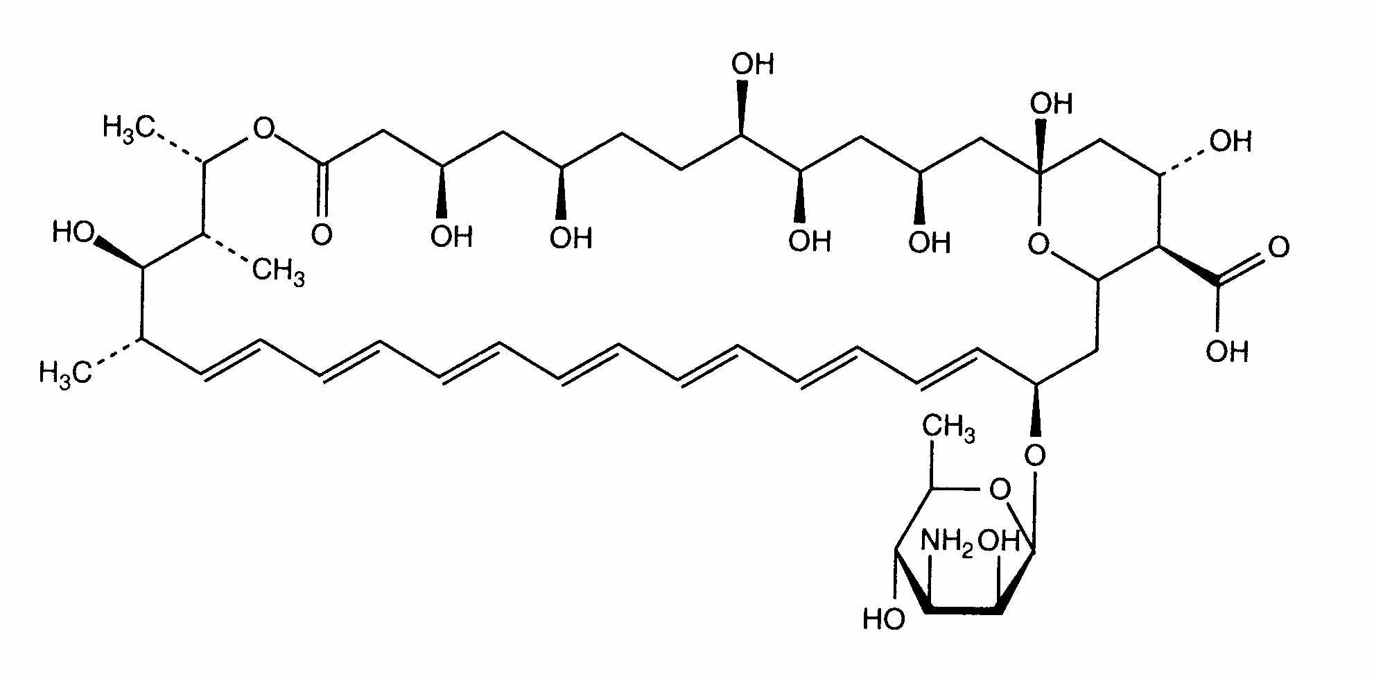
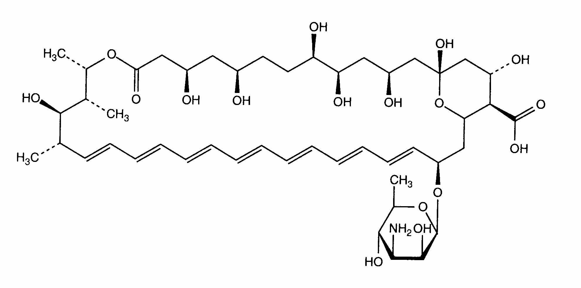
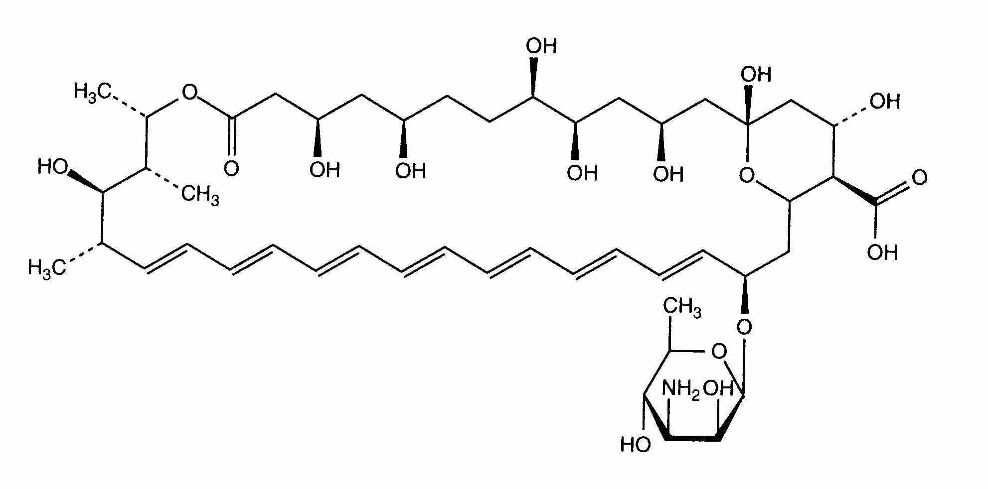
Lipozom   Chemický vzorec  

Humbuk
Odkazy   Humbuk   Odkazy : Amphotericin B liposomale  
typ uveřejnění
2654 noviny Morand K, Bartoletti AC, Bochot A, Barratt G, Brandely ML, Chast F.
Liposomal amphotericin B eye drops to treat fungal keratitis: physico-chemical and formulation stability.
Int J Pharm 2007 ; 344, 1-2: 150-153.

  Mentions Légales