Ultimo aggiornamento :
18/03/2026
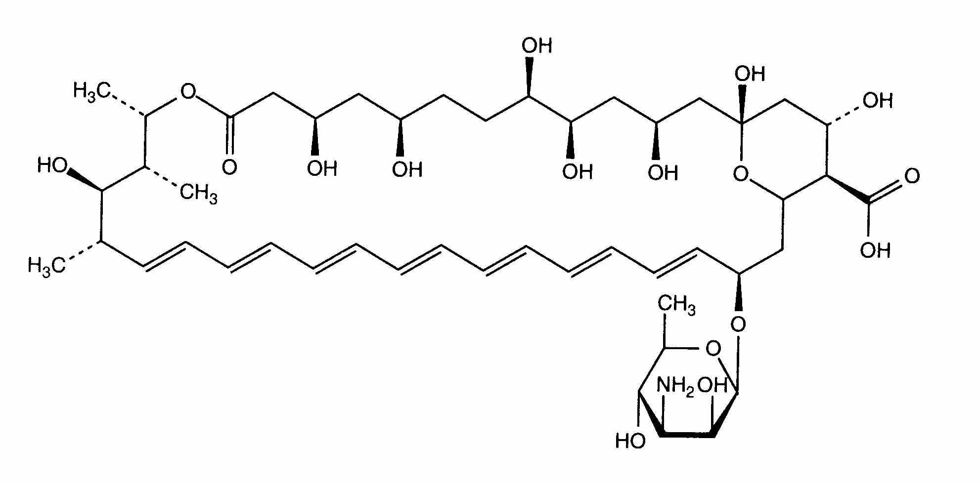
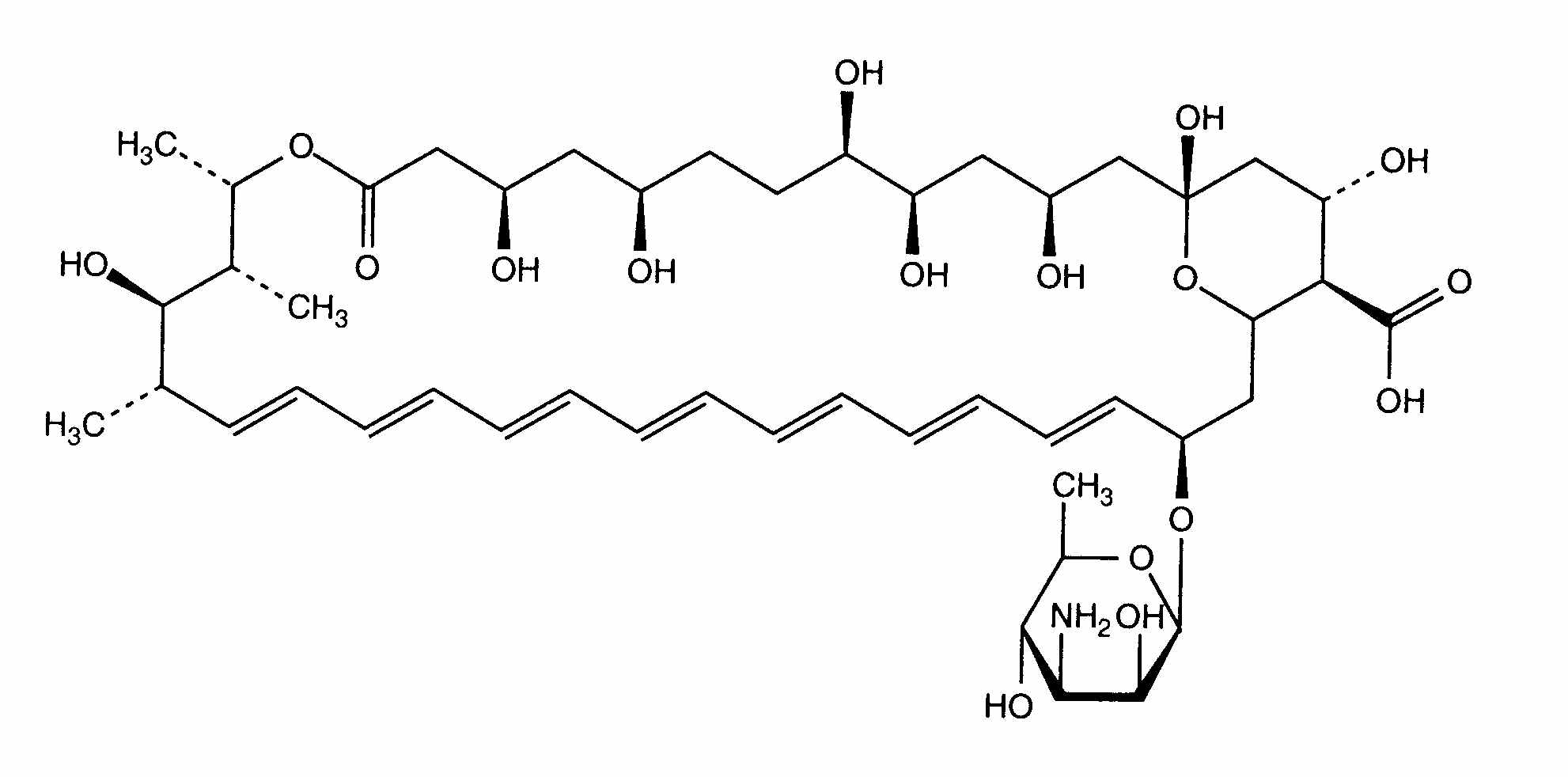
Antimicotico   Amphotericin B liposomale  
Collirio
Iniezione
Stabilità dei preparati farmaceutici Stabilità in miscela Fattori che influenzano la stabilità Compatibilità Bibliografia pdf
Liposoma   Struttura chimica  

Collirio
Bibliografia   Collirio   Bibliografia : Amphotericin B liposomale  
tipo pubblicazione
2654 Rivista Morand K, Bartoletti AC, Bochot A, Barratt G, Brandely ML, Chast F.
Liposomal amphotericin B eye drops to treat fungal keratitis: physico-chemical and formulation stability.
Int J Pharm 2007 ; 344, 1-2: 150-153.

  Mentions Légales